Quảng cáo
Trả lời:
Đáp án đúng là C
Phương pháp giải
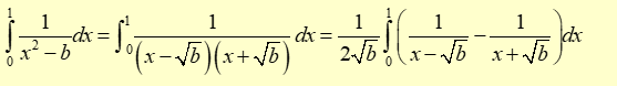
Lời giải
Do \(a < - 1\) nên không mất tổng quát giả sử \(a = - b\), ta tìm \(b > 1\) thỏa mãn yêu cầu.

\[ = \left. {\frac{1}{{2\sqrt a }}\ln \left| {\frac{{x - \sqrt a }}{{x + \sqrt a }}} \right|} \right|_0^1 = \frac{1}{{2\sqrt a }}\ln \left| {\frac{{1 - \sqrt b }}{{1 + \sqrt b }}} \right|\]
Theo giả thiết ta có:
\(\left| {\frac{{1 - \sqrt b }}{{1 + \sqrt b }}} \right| = \frac{1}{2} \Leftrightarrow 2\left| {1 - \sqrt b \left| = \right|1 + \sqrt b } \right| \Leftrightarrow 3b - 10\sqrt b + 3 = 0 \Leftrightarrow \left[ {\begin{array}{*{20}{l}}{\sqrt b = \frac{1}{3}}\\{\sqrt b = 3}\end{array}} \right. \Leftrightarrow \left[ {\begin{array}{*{20}{l}}{b = \frac{1}{9}}\\{b = 9}\end{array}} \right.\)
Do \(b > 1\) nên \(b = 9 \Rightarrow a = - 9\).
Hot: 1000+ Đề thi cuối kì 2 file word cấu trúc mới 2026 Toán, Văn, Anh... lớp 1-12 (chỉ từ 60k). Tải ngay
CÂU HỎI HOT CÙNG CHỦ ĐỀ
Câu 1
C. Thủy sản nuôi trồng chiếm tỉ trọng ngày càng cao trong cơ cấu sản lượng thủy sản.
Lời giải
Đáp án đúng là B
Phương pháp giải
Nhận xét bảng số liệu.
Lời giải
- A đúng vì tổng sản lượng thủy sản năm 2000, 2010 và 2020 lần lượt là 4 104,5 nghìn tấn; 4 196,8 nghìn tấn và 5 300,2 nghìn tấn.
- B không đúng vì thủy sản nuôi trồng tăng 2,8 lần; thủy sản khai thác 1,3 lần => thủy sản nuôi trồng tăng nhanh hơn thủy sản khai thác.
- C đúng vì dựa vào công thức về tỉ trọng, ta tính được tỉ trọng thủy sản nuôi trồng trong cơ cấu sản lượng thủy sản năm 2000, 2010 và 2020 lần lượt là 1,9%; 2,9% và 4,1%.
- D đúng vì thủy sản khai thác tăng liên tục từ 4 027,4 nghìn tấn (năm 2010) lên 5 081,0 nghìn tấn (năm 2020) và luôn có sản lượng cao hơn thủy sản nuôi trồng nên tỉ trọng cũng cao hơn.
Câu 2
Lời giải
Đáp án đúng là B
Phương pháp giải
Đọc kĩ thông tin bài đọc.
Lời giải
Thí nghiệm được thực hiện để nghiên cứu sự ảnh hưởng của nhiệt độ đến sự nảy mầm của hạt táo Berber.
Câu 3
Lời giải
Bạn cần đăng ký gói VIP ( giá chỉ từ 250K ) để làm bài, xem đáp án và lời giải chi tiết không giới hạn.
Lời giải
Bạn cần đăng ký gói VIP ( giá chỉ từ 250K ) để làm bài, xem đáp án và lời giải chi tiết không giới hạn.
Câu 5
Lời giải
Bạn cần đăng ký gói VIP ( giá chỉ từ 250K ) để làm bài, xem đáp án và lời giải chi tiết không giới hạn.
Câu 6
Lời giải
Bạn cần đăng ký gói VIP ( giá chỉ từ 250K ) để làm bài, xem đáp án và lời giải chi tiết không giới hạn.
Câu 7
Lời giải
Bạn cần đăng ký gói VIP ( giá chỉ từ 250K ) để làm bài, xem đáp án và lời giải chi tiết không giới hạn.
