Hai vận động viên \(A\) và \(B\) tham dự một cuộc thi chạy bộ trên một đường thẳng, xuất phát cùng một thời điểm, cùng vạch xuất phát và chạy cùng chiều với vận tốc lần lượt là\({v_A}\left( t \right) = \frac{1}{{450}}{t^3} - \frac{{47}}{{450}}{t^2} + \frac{{64}}{{45}}t\left( {{\rm{m/s}}} \right)\), \({v_B}\left( t \right)\left( {{\rm{m/s}}} \right)\) với \(t \ge 0\) là là thời gian tính bằng giây. Hàm số \(y = {v_B}\left( t \right)\) có đồ thị là một phần của parabol như hình vẽ sau:
Hai vận động viên \(A\) và \(B\) tham dự một cuộc thi chạy bộ trên một đường thẳng, xuất phát cùng một thời điểm, cùng vạch xuất phát và chạy cùng chiều với vận tốc lần lượt là\({v_A}\left( t \right) = \frac{1}{{450}}{t^3} - \frac{{47}}{{450}}{t^2} + \frac{{64}}{{45}}t\left( {{\rm{m/s}}} \right)\), \({v_B}\left( t \right)\left( {{\rm{m/s}}} \right)\) với \(t \ge 0\) là là thời gian tính bằng giây. Hàm số \(y = {v_B}\left( t \right)\) có đồ thị là một phần của parabol như hình vẽ sau:

Vận tốc chạy lớn nhất của vận động viên \(A\) trong khoảng 20 giây theo đơn vị m/s tính từ khi bắt đầu xuất phát là
Quảng cáo
Trả lời:
Đáp án đúng là C
Phương pháp giải
Tìm giá trị lớn nhất của hàm số.
Lời giải

Ta thấy \({v_A}\left( 0 \right) = 0,{v_A}\left( {20} \right) = \frac{{40}}{9},{v_A}\left( {10} \right) = 6\). Vậy 
Câu hỏi cùng đoạn
Câu 2:
Sau 30 giây tính từ khi bắt đầu xuất phát, hai vận động viên cách nhau một khoảng bằng bao nhiêu mét?
Đáp án đúng là A
Phương pháp giải
Sử dụng tích phân để tính độ dài quãng đường.
Lời giải
Đồ thị hàm số \(y = a{t^2} + bt + c\) đi qua các điểm \(\left( {0;0} \right),\left( {5;2} \right),\left( {15;4} \right)\) nên \(y = - \frac{1}{{75}}{t^2} + \frac{7}{{15}}t\).
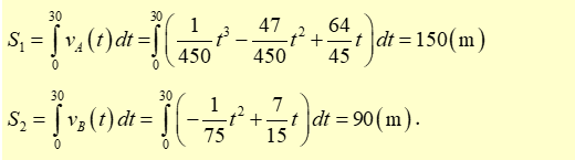
Ta có:

Vậy khoảng cách giữa hai vận động viên là \(150 - 90 = 60\left( {\rm{m}} \right)\).
Câu 3:
Biết rằng một trong hai vận động viên có vận tốc khi về đích bằng 0, khi đó chênh lệch giữa thời gian hoàn thành đường chạy của hai vận động viên khoảng bao nhiêu giây?
Đáp án đúng là D
Phương pháp giải
Sử dụng tích phân để tính độ dài quãng đường.
Lời giải
Do \({v_A}\left( t \right) > 0\forall t > 0\), ta thấy vận động viên \(B\) về đích với vận tốc bằng 0.
Khi đó \( - \frac{1}{{75}}{t^2} + \frac{7}{{15}}t = 0 \Rightarrow t = 35(t > 0)\).
Độ dài đường chạy là \(S = \int\limits_0^{35} {{v_B}\left( t \right)dt} = \int\limits_0^{35} {\left( { - \frac{1}{{75}}{t^2} + \frac{7}{{15}}t} \right)dt} = \frac{{1715}}{{18}}\left( {\rm{m}} \right)\).
Đặt \(t = a\) là thời điểm vận động viên \(A\) hoàn thành đường chạy.
Khi đó
\( \Rightarrow \frac{{{a^4}}}{{1800}} - \frac{{47{a^3}}}{{1350}} + \frac{{32{a^2}}}{{45}} = \frac{{1715}}{{18}}\).
Sử dụng máy tính cầm tay, ta có \(a \approx 20,1\).
Như vậy chênh lệch thời gian hoàn thành đường chạy là \(35 - 20,1 = 14,9\) giây.
Hot: 1000+ Đề thi giữa kì 2 file word cấu trúc mới 2026 Toán, Văn, Anh... lớp 1-12 (chỉ từ 60k). Tải ngay
- Tuyển tập 30 đề thi đánh giá năng lực Đại học Quốc gia Hà Nội 2025 (Tập 1) ( 39.000₫ )
- Tuyển tập 30 đề thi đánh giá năng lực Đại học Quốc gia TP Hồ Chí Minh (2 cuốn) ( 140.000₫ )
- Tuyển tập 15 đề thi Đánh giá tư duy Đại học Bách Khoa Hà Nội 2025 (Tập 1) ( 39.000₫ )
- Tuyển tập 30 đề thi đánh giá năng lực Đại học Quốc gia Hà Nội, TP Hồ Chí Minh (2 cuốn) ( 150.000₫ )
CÂU HỎI HOT CÙNG CHỦ ĐỀ
Câu 1
Lời giải
Đáp án đúng là A
Phương pháp giải
Tìm đại từ thay thế
Lời giải
Câu hỏi: Từ “they” ở đoạn văn số 3 thay thế cho:
A. Những vị phụ huynh
B. Những cô con gái
C. Gia đình nhà trai
D. Các cộng đồng
Câu chứa “they” là: “Parents marry their daughters as soon as possible because the money they have to pay to the groom’s family is higher if their daughter is older.” Chủ ngữ chính của câu là “Parents”, động từ chính là “marry” (kết hôn, gả con). Cụm “the money they have to pay to the groom’s family” có đại từ “they”, chỉ người phải trả tiền.
=> “They” thay thế cho “parents”.
Tạm dịch: Cha mẹ gả con gái càng sớm càng tốt vì số tiền họ phải trả cho gia đình nhà trai sẽ cao hơn nếu con gái họ lớn tuổi hơn.
Câu 2
Lời giải
Đáp án đúng là B
Phương pháp giải
Thành ngữ
Lời giải
Câu hỏi Cụm từ “must be taken with a pinch of salt” nghĩa là gì?
A. Hoàn toàn tin tưởng và chấp nhận mà không nghi ngờ.
B. Chấp nhận nhưng với một chút hoài nghi.
C. Bỏ qua vì nó không quan trọng.
D. Coi là cực kỳ nguy hiểm.
Cụm từ “taken with a pinch of salt” xuất hiện trong câu: The study must be taken with a pinch of salt, however.
“Take something with a pinch of salt” là một thành ngữ tiếng Anh có nghĩa là không hoàn toàn tin tưởng vào điều gì đó, mà cần có sự hoài nghi nhất định. Do đó đáp án B là nghĩa phù hợp nhất.
Tạm dịch: Nghiên cứu này cần được xem xét với một chút hoài nghi.
Câu 3
Lời giải
Bạn cần đăng ký gói VIP ( giá chỉ từ 199K ) để làm bài, xem đáp án và lời giải chi tiết không giới hạn.
Câu 4
Lời giải
Bạn cần đăng ký gói VIP ( giá chỉ từ 199K ) để làm bài, xem đáp án và lời giải chi tiết không giới hạn.
Câu 5
Lời giải
Bạn cần đăng ký gói VIP ( giá chỉ từ 199K ) để làm bài, xem đáp án và lời giải chi tiết không giới hạn.
Câu 6
Lời giải
Bạn cần đăng ký gói VIP ( giá chỉ từ 199K ) để làm bài, xem đáp án và lời giải chi tiết không giới hạn.