Người ta muốn thiết kế một chiếc đĩa. Biết rằng hình dạng của chiếc đĩa là phần chung của 2 elip có phương trình lần lượt là và
Coi như bề mặt của chiếc đĩa là phẳng. Tính diện tích của bề mặt chiếc đĩa. (nhập đáp án vào ô trống, kết quả làm tròn đến hàng đơn vị)

Đáp án: ___
Quảng cáo
Trả lời:
Đáp án đúng là "31"
Phương pháp giải
Viết phương trình của các đường elip, từ đó sử dụng tích phân để tính diện tích.
Lời giải

Do chiếc đĩa đối xứng qua hai trục toạ độ nên ta xét phần đĩa nằm ở góc phần tư thứ nhất.
Xét phần đĩa ở góc phần tư thứ nhất. Toạ độ giao điểm của 2 elip là nghiệm \(x,y > 0\) của hệ:
\(\left\{ {\begin{array}{*{20}{l}}{\frac{{{x^2}}}{{16}} + \frac{{{y^2}}}{9} = 1}\\{\frac{{{x^2}}}{9} + \frac{{{y^2}}}{{16}} = 1}\end{array} \Leftrightarrow x = y = \frac{{12}}{5}} \right.\)
Phương trình của hai elip ở góc phần tư thứ nhất có thể viết lại:
\(\frac{{{x^2}}}{{16}} + \frac{{{y^2}}}{9} = 1 \Leftrightarrow y = 3\sqrt {1 - \frac{{{x^2}}}{{16}}} ;\,\,\frac{{{x^2}}}{9} + \frac{{{y^2}}}{{16}} = 1 \Leftrightarrow y = 4\sqrt {1 - \frac{{{x^2}}}{9}} .\)
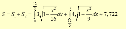
Chia phần chiếc đĩa ở góc phần tư thứ nhất thành hai phần như hình vẽ, khi đó ta tính được diện tích của đĩa ở góc phần tư thứ nhất là:

Khi đó, diện tích chiếc đĩa là \(4S \approx 30,888\).
Hot: 1000+ Đề thi cuối kì 2 file word cấu trúc mới 2026 Toán, Văn, Anh... lớp 1-12 (chỉ từ 60k). Tải ngay
CÂU HỎI HOT CÙNG CHỦ ĐỀ
Lời giải
Đáp án đúng là "8/11"
Phương pháp giải
Vận dụng công thức Bernoulli, công thức Bayes.
Lời giải
Gọi A là biến cố "Chai rượu đó là chai rượu loại A", B là biến cố "Chai rượu đó là chai rượu loại B". Dễ thấy \(A = \overline B \).
Gọi \(H\) là biến cố "3 người kết luận đó là loại rượu A, 2 người kết luận đó là loại rượu B".
Xác suất cần tính là \(P\left( {A\mid H} \right)\).
Có \(P\left( A \right) = \frac{2}{5} = 0,4;\,\,P\left( B \right) = \frac{3}{5} = 0,6\) do số lượng chai rượu loại A bằng \(\frac{2}{3}\) số chai rượu loại B.
Xác suất \(P\left( {H\mid A} \right)\) chính là xác suất "3 người kết luận đúng, 2 người kết luận sai khi đó là loại rượu A". Khi đó, theo công thức Bernoulli, ta có: \(P\left( {H|A} \right) = C_5^3.0,{8^3}.{(1 - 0,8)^{5 - 3}} = 0,2048\)
Một cách tương tự, ta tính được: \(P\left( {H|B} \right) = C_5^2.0,{8^2}.{(1 - 0,8)^{5 - 2}} = 0,0512\).
Khi đó, theo công thức Bayes, xác suất cần tính là:
\(P\left( {A\mid H} \right) = \frac{{P\left( {AH} \right)}}{{P\left( H \right)}} = \frac{{P\left( {H\mid A} \right)P\left( A \right)}}{{P\left( {H\mid A} \right)P\left( A \right) + P\left( {H\mid B} \right)P\left( B \right)}}\)
\(P\left( {A\mid H} \right) = \frac{{0,2048.0,4}}{{0,2048.0,4 + 0.0512.0,6}} = \frac{8}{{11}}\)
Câu 2
Lời giải
Đáp án đúng là D
Phương pháp giải
Tìm điều kiện để học sinh đạt ít nhất 8 điểm, sau đó vận dụng công thức Bernoulli.
Lời giải
Gọi số câu hỏi mà học sinh đó trả lời đúng là \(x\).
Để học sinh đó đạt được tối thiểu 8 điểm trong bài kiểm tra thì:
\(0,5x - 0,2.\left( {20 - x} \right) \ge 8 \Leftrightarrow x \ge \frac{{120}}{7}\)
\( \Rightarrow \) Học sinh đó cần trả lời đúng ít nhất 18 câu để có thể đạt tối thiểu 8 điểm.
Theo công thức Bernoulli, xác suất để học sinh đó trả lời đúng \(i\) câu là:
\(P\left( {x = i} \right) = C_{20}^i.{(0,25)^i}.{(0,75)^{20 - i}}\)
Khi đó, xác suất để học sinh đó trả lời đúng ít nhất 18 câu là:

Câu 3
Lời giải
Bạn cần đăng ký gói VIP ( giá chỉ từ 250K ) để làm bài, xem đáp án và lời giải chi tiết không giới hạn.
Câu 4
Lời giải
Bạn cần đăng ký gói VIP ( giá chỉ từ 250K ) để làm bài, xem đáp án và lời giải chi tiết không giới hạn.
Câu 5
Lời giải
Bạn cần đăng ký gói VIP ( giá chỉ từ 250K ) để làm bài, xem đáp án và lời giải chi tiết không giới hạn.
Lời giải
Bạn cần đăng ký gói VIP ( giá chỉ từ 250K ) để làm bài, xem đáp án và lời giải chi tiết không giới hạn.
Câu 7
Lời giải
Bạn cần đăng ký gói VIP ( giá chỉ từ 250K ) để làm bài, xem đáp án và lời giải chi tiết không giới hạn.