Đề thi vào 10 chuyên anh Sở GD ĐT Sóc Trăng năm 2025 có đáp án
Khoahoc.vietjack.com cập nhật Đề thi vào 10 chuyên anh Sở GD ĐT Sóc Trăng năm 2025 có đáp án, mời các bạn đón xem:
A. Đề thi vào 10 chuyên anh Sở GD Sóc Trăng năm 2025 có đáp án
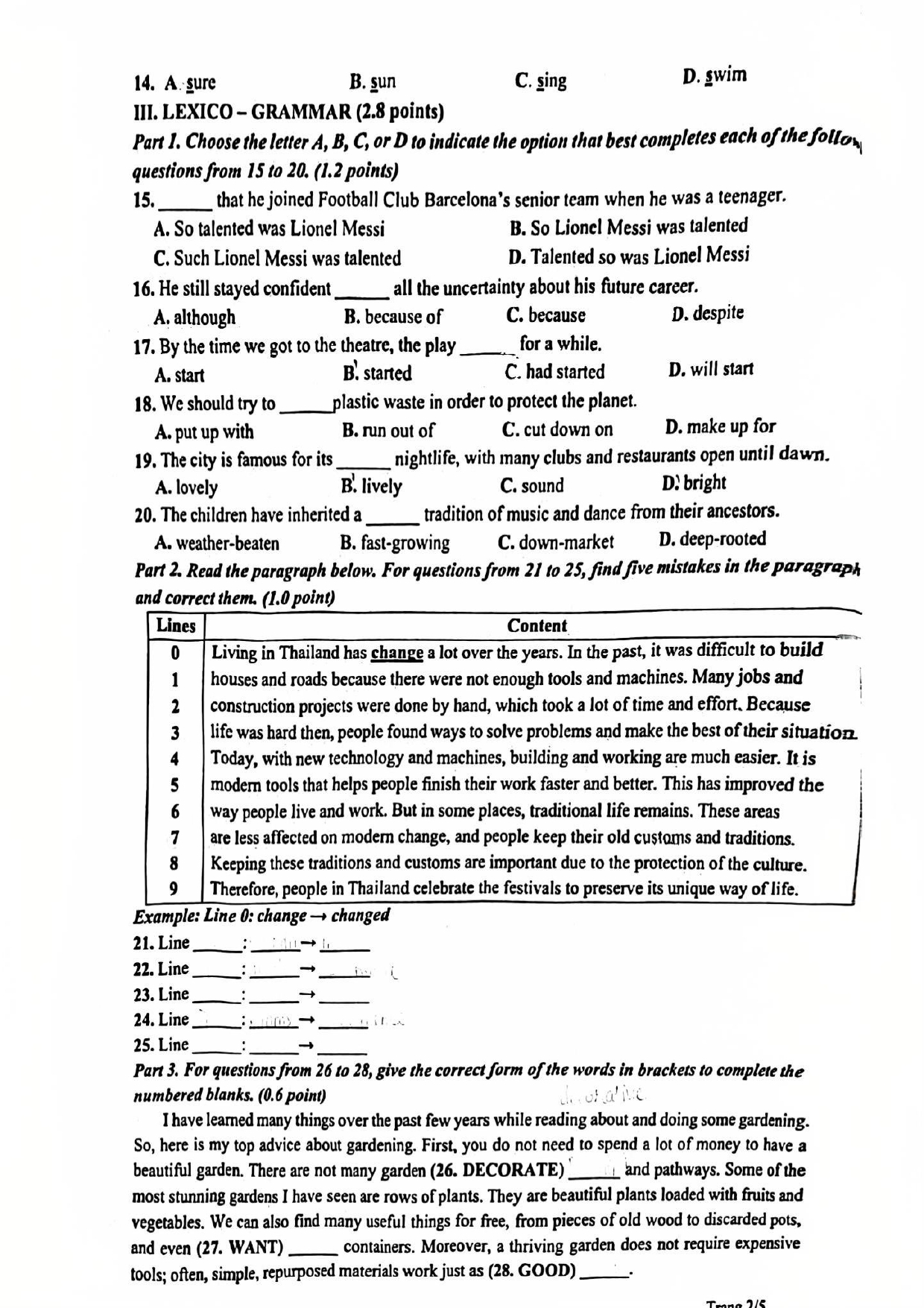
1. Đề thi vào 10 chuyên anh Sở GD Sóc Trăng 2025






B. Đề thi vào 10 chuyên anh Sở GD Sóc Trăng năm 2024 có đáp án
1. Đề thi vào 10 chuyên anh Sở GD Sóc Trăng 2024




2. Đáp án vào 10 chuyên anh Sở GD Sóc Trăng năm 2024
Đang cập nhật...
C. Xem thêm đề thi và điểm chuẩn các năm của trường chuyên Sóc Trăng