ĐáP áN - Đề THI MôN TOáN
Xem nhanh đáp án đề thi - Tổng hợp đề thi đáp án các năm
-
Top 50 Đề thi Toán 9 Học kì 2 năm 2026 có đáp án
10/03/2026 425
Khoahoc.vietjack.com cập nhật Trọn bộ Đề thi Học Toán 9 trên cả nước các năm gần đây sẽ giúp học sinh lớp 9 có thêm tài liệu ôn thi Toán 9 Cuối kì 2. Mời các bạn đón đọc:
-
Top 50 Đề thi Toán 8 Học kì 2 năm 2026 có đáp án
10/03/2026 173
Khoahoc.vietjack.com cập nhật Trọn bộ Đề thi Học Toán 8 trên cả nước các năm gần đây sẽ giúp học sinh lớp 8 có thêm tài liệu ôn thi Toán 8 Cuối kì 2. Mời các bạn đón đọc:
-
Top 50 Đề thi Toán 7 Học kì 2 năm 2026 có đáp án
10/03/2026 205
Khoahoc.vietjack.com cập nhật Trọn bộ Đề thi Học Toán 7 trên cả nước các năm gần đây sẽ giúp học sinh lớp 7 có thêm tài liệu ôn thi Toán 7 Cuối kì 2. Mời các bạn đón đọc:
-
Đề cương ôn tập Giữa kì 1 Toán 7 trường THCS Thành Công (Hà Nội) năm 2025–2026
Khoahoc.vietjack.com cập nhật Đề cương ôn tập Giữa kì 1 Toán 7 trường THCS Thành Công, tỉnh Hà Nội năm 2025 – 2026 sẽ giúp học sinh lớp 7 có thêm tài liệu ôn thi Toán 7 Giữa học kì 1. Mời các bạn đón đọc:
03/04/2026 42
-
Đề cương ôn tập Giữa kì 1 Toán 7 trường THCS Tân Mai (Hà Nội) năm 2025–2026
Khoahoc.vietjack.com cập nhật Đề cương ôn tập Giữa kì 1 Toán 7 trường THCS Tân Mai, tỉnh Hà Nội năm 2025 – 2026 sẽ giúp học sinh lớp 7 có thêm tài liệu ôn thi Toán 7 Giữa học kì 1. Mời các bạn đón đọc:
03/04/2026 20
-
Đề cương ôn tập Giữa kì 2 Toán 8 trường THCS Tây Mỗ (Hà Nội) năm 2025–2026
Khoahoc.vietjack.com cập nhật Đề cương ôn tập Giữa kì 2 Toán 8 trường THCS Tây Mỗ, tỉnh Hà Nội năm 2025 – 2026 sẽ giúp học sinh lớp 8 có thêm tài liệu ôn thi Toán 8 Giữa học kì 2. Mời các bạn đón đọc:
01/04/2026 53
-
Đề cương ôn tập Giữa kì 2 Toán 8 trường THCS Nguyễn Gia Thiều (TP Hồ Chí Minh) năm 2025–2026
Khoahoc.vietjack.com cập nhật Đề cương ôn tập Giữa kì 2 Toán 8 trường THCS Nguyễn Gia Thiều, tỉnh TP Hồ Chí Minh năm 2025 – 2026 sẽ giúp học sinh lớp 8 có thêm tài liệu ôn thi Toán 8 Giữa học kì 2. Mời các bạn đón đọc:
01/04/2026 52
-
Đề cương ôn tập Giữa kì 2 Toán 8 trường THCS Long Toàn (TP Hồ Chí Minh) năm 2025–2026
Khoahoc.vietjack.com cập nhật Đề cương ôn tập Giữa kì 2 Toán 8 trường THCS Long Toàn, tỉnh TP Hồ Chí Minh năm 2025 – 2026 sẽ giúp học sinh lớp 8 có thêm tài liệu ôn thi Toán 8 Giữa học kì 2. Mời các bạn đón đọc:
01/04/2026 40
-
Đề cương ôn tập Giữa kì 2 Toán 8 trường THCS Nguyễn Du (Lâm Đồng) năm 2025–2026
Khoahoc.vietjack.com cập nhật Đề cương ôn tập Giữa kì 2 Toán 8 trường THCS Nguyễn Du, tỉnh Lâm Đồng năm 2025 – 2026 sẽ giúp học sinh lớp 8 có thêm tài liệu ôn thi Toán 8 Giữa học kì 2. Mời các bạn đón đọc:
01/04/2026 50
-
Đề cương ôn tập Giữa kì 2 Toán 8 trường THCS Thọ Lộc (Hà Nội) năm 2025–2026
Khoahoc.vietjack.com cập nhật Đề cương ôn tập Giữa kì 2 Toán 8 trường THCS Thọ Lộc, tỉnh Hà Nội năm 2025 – 2026 sẽ giúp học sinh lớp 8 có thêm tài liệu ôn thi Toán 8 Giữa học kì 2. Mời các bạn đón đọc:
01/04/2026 32
-
Đề cương ôn tập Giữa kì 2 Toán 8 trường THCS Chu Văn An (Hà Nội) năm 2025–2026
Khoahoc.vietjack.com cập nhật Đề cương ôn tập Giữa kì 2 Toán 8 trường THCS Chu Văn An, tỉnh Hà Nội năm 2025 – 2026 sẽ giúp học sinh lớp 8 có thêm tài liệu ôn thi Toán 8 Giữa học kì 2. Mời các bạn đón đọc:
01/04/2026 34
-
Đề cương ôn tập Giữa kì 2 Toán 8 trường THCS Trưng Vương (Đà Nẵng) năm 2025–2026
Khoahoc.vietjack.com cập nhật Đề cương ôn tập Giữa kì 2 Toán 8 trường THCS Trưng Vương, tỉnh Đà Nẵng năm 2025 – 2026 sẽ giúp học sinh lớp 8 có thêm tài liệu ôn thi Toán 8 Giữa học kì 2. Mời các bạn đón đọc:
01/04/2026 39
-
Đề cương ôn tập Giữa kì 2 Toán 8 trường THCS Thanh An (Quảng Trị) năm 2025–2026
Khoahoc.vietjack.com cập nhật Đề cương ôn tập Giữa kì 2 Toán 8 trường THCS Thanh An, tỉnh Quảng Trị năm 2025 – 2026 sẽ giúp học sinh lớp 8 có thêm tài liệu ôn thi Toán 8 Giữa học kì 2. Mời các bạn đón đọc:
01/04/2026 36
-
Đề cương ôn tập Giữa kì 2 Toán 8 trường THCS Thành Công (Hà Nội) năm 2025–2026
Khoahoc.vietjack.com cập nhật Đề cương ôn tập Giữa kì 2 Toán 8 trường THCS Thành Công, tỉnh Hà Nội năm 2025 – 2026 sẽ giúp học sinh lớp 8 có thêm tài liệu ôn thi Toán 8 Giữa học kì 2. Mời các bạn đón đọc:
01/04/2026 34
-
Đề cương ôn tập Giữa kì 2 Toán 8 trường THCS Nguyễn Bỉnh Khiêm (Hà Nội) năm 2025–2026
Khoahoc.vietjack.com cập nhật Đề cương ôn tập Giữa kì 2 Toán 8 trường THCS Nguyễn Bỉnh Khiêm, tỉnh Hà Nội năm 2025 – 2026 sẽ giúp học sinh lớp 8 có thêm tài liệu ôn thi Toán 8 Giữa học kì 2. Mời các bạn đón đọc:
01/04/2026 24
-
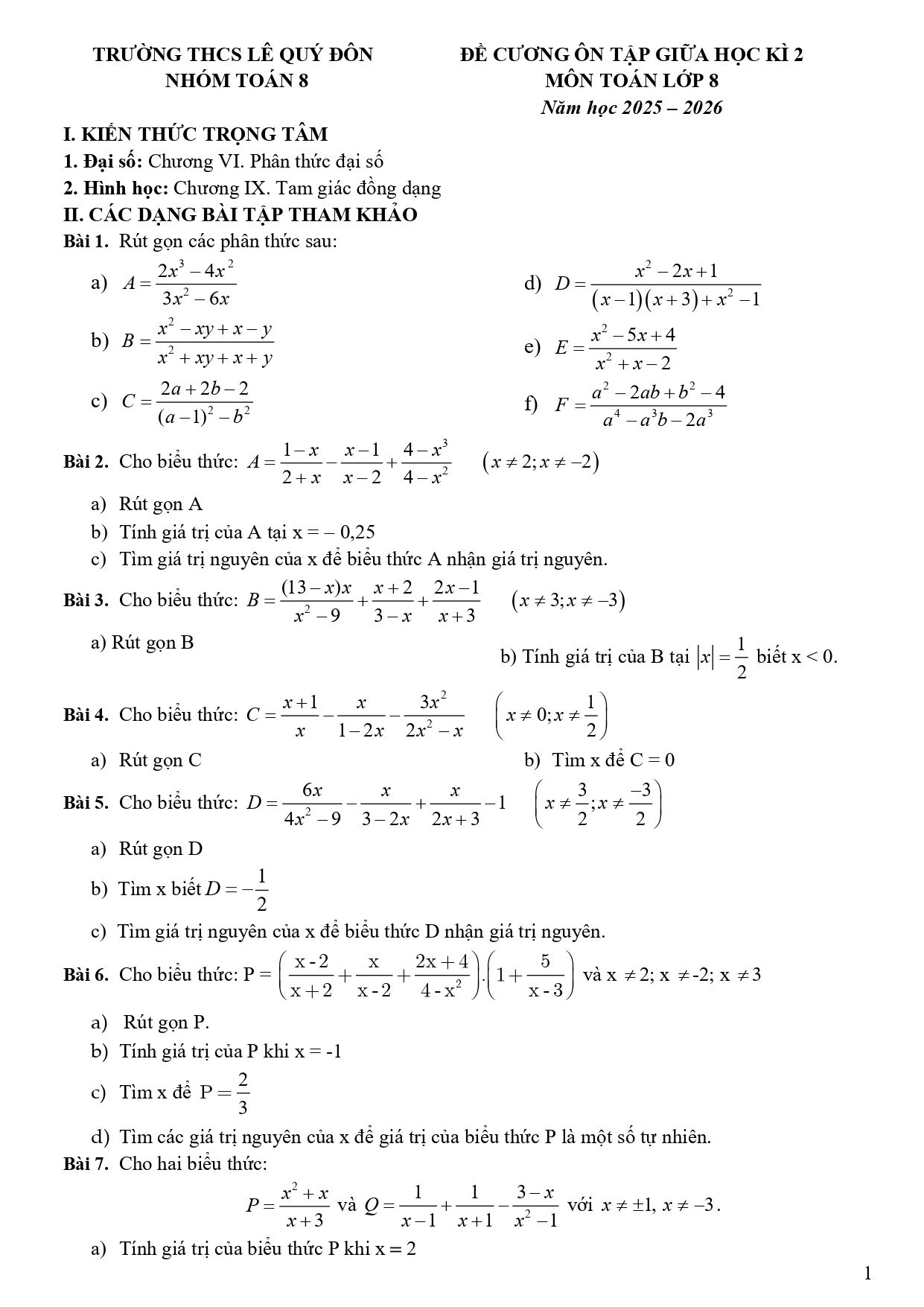
Đề cương ôn tập Giữa kì 2 Toán 8 trường THCS Lê Quý Đôn (Hà Nội) năm 2025–2026
Khoahoc.vietjack.com cập nhật Đề cương ôn tập Giữa kì 2 Toán 8 trường THCS Lê Quý Đôn, tỉnh Hà Nội năm 2025 – 2026 sẽ giúp học sinh lớp 8 có thêm tài liệu ôn thi Toán 8 Giữa học kì 2. Mời các bạn đón đọc:
01/04/2026 31
-
Đề cương ôn tập Giữa kì 2 Toán 8 trường THCS Ngọc Thụy (Hà Nội) năm 2025–2026
Khoahoc.vietjack.com cập nhật Đề cương ôn tập Giữa kì 2 Toán 8 trường THCS Ngọc Thụy, tỉnh Hà Nội năm 2025 – 2026 sẽ giúp học sinh lớp 8 có thêm tài liệu ôn thi Toán 8 Giữa học kì 2. Mời các bạn đón đọc:
01/04/2026 39
-
Đề cương ôn tập Giữa kì 2 Toán 8 trường THCS Mỹ Đình 2 (Hà Nội) năm 2025–2026
Khoahoc.vietjack.com cập nhật Đề cương ôn tập Giữa kì 2 Toán 8 trường THCS Mỹ Đình 2, tỉnh Hà Nội năm 2025 – 2026 sẽ giúp học sinh lớp 8 có thêm tài liệu ôn thi Toán 8 Giữa học kì 2. Mời các bạn đón đọc:
01/04/2026 30