Đề thi thử Tốt nghiệp THPT Hóa học 2025 - 2026 trường THPT Chuyên Trần Phú (Hải Phòng)
Khoahoc.vietjack.com cập nhật Đề thi thử Tốt nghiệp THPT Hóa học 2025-2026 trường THPT Chuyên Trần Phú, thành phố Hải Phòng sẽ giúp học sinh có thêm tài liệu ôn thi Tốt nghiệp THPT Hóa học. Mời các bạn đón đọc:
Xem thử Đề thi Tốt nghiệp THPT Hóa 2025Xem thử Đề thi thử Tốt nghiệp THPT Hóa 2025 Xem thử Chuyên đề ôn thi Tốt nghiệp THPT HóaXem thử 1000 câu trắc nghiệm Hóa
Chỉ từ 350k mua trọn bộ đề thi thử Hóa năm 2025 của các Trường/Sở trên cả nước hoặc bộ đề thi Hóa biên soạn theo đề tham khảo theo cấu trúc mới bản word có lời giải chi tiết:
B1: gửi phí vào tk: 1133836868 - CT TNHH DAU TU VA DV GD VIETJACK - Ngân hàng MB (QR)
B2: Nhắn tin tới Zalo VietJack Official - nhấn vào đây để thông báo và nhận đề thi
A. Tóm tắt nội dung một số câu trong Đề thi thử Tốt nghiệp THPT Hóa học
PHẦN I. Câu trắc nghiệm nhiều phương án lựa chọn. Thí sinh trả lời từ câu 1 đến câu 18. Mỗi câu hỏi thí sinh chỉ chọn một phương án.
Câu 1. Chất nào sau đây được dùng làm chất giặt rửa tổng hợp?
A. C17H35COONa.
B. CH3–C6H4–ONa.
C. CH3[CH2]11–C6H4–SO3Na.
D. C15H31COONa.
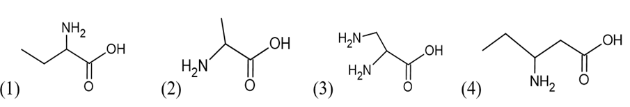
Câu 2. Cho các hợp chất có công thức cấu tạo dưới đây:

B. chất (1) và chất (3).
C. chất (1), chất (2) và chất (3).
D. chất (2), chất (3) và chất (4).
Câu 3. Hợp chất sau thuộc loại polysaccharide là
A. peptide.
B. protein.
C. maltose.
D. cellulose.
Câu 4. Linoleic acid là một trong những acid béo có lợi cho sức khỏe tim mạch, ngăn ngừa các bệnh về tim, động mạch vành.

Phát biểu nào sau đây không đúng?
A. Trong phân tử linoleic acid có 2 liên kết π.
B. Công thức của chất béo trilinolein là (C17H31COO)3C3H5.
C. Linoleic acid thuộc loại omega-6.
D. Ở điều kiện thích hợp, 1 mol trilinolein tác dụng được tối đa với 6 mol H2.
...........................................................................................
PHẦN II. Câu trắc nghiệm đúng sai. Thí sinh trả lời từ câu 1 đến câu 4. Trong mỗi ý a), b), c), d) ở mỗi câu, thí sinh chọn đúng hoặc sai.
Câu 1. Hòa tan hoàn toàn hai chất rắn X, Y (có số mol bằng nhau) vào nước thu được dung dịch Z. Tiến hành các thí nghiệm sau:
Thí nghiệm 1: Cho dung dịch NaOH dư vào V mL dung dịch Z, thu được a mol kết tủa.
Thí nghiệm 2: Cho dung dịch NH3 dư vào V mL dung dịch Z, thu được b mol kết tủa.
Thí nghiệm 3: Cho dung dịch AgNO3 dư vào V mL dung dịch Z, thu được c mol kim loại.
Biết các phản ứng xảy ra hoàn toàn và a < b và X, Y chỉ có thể là muối chloride của các kim loại sau: Fe, Cu, Al.
Cho các phát biểu sau:
a) Trong thí nghiệm 2, kết tủa thu được bao gồm Cu(OH)2 và Fe(OH)2.
b) Công thức của chất X, Y lần lượt là FeCl2 và AlCl3.
c) Kết tủa thu được trong thí nghiệm 3, ngoài Ag còn có AgCl.
d) Trong thí nghiệm 1, kết tủa thu được là Fe(OH)2 và Al(OH)3.
...........................................................................................
PHẦN III. Câu trắc nghiệm yêu cầu trả lời ngắn. Thí sinh trả lời từ câu 1 đến câu 6.
...........................................................................................
B. Nội dung Đề thi thử Tốt nghiệp THPT Hóa học 2025-2026 trường THPT Chuyên Trần Phú (Hải Phòng)









C. Chiến lược ôn thi Tốt nghiệp THPT Hóa học hiệu quả
Qua đề thi thử Tốt nghiệp THPT Hóa học 2025-2026 trường THPT Chuyên Trần Phú (Hải Phòng) trên, các em đã nắm được cấu trúc cũng như các dạng bài tập có trong đề thi. Cùng tham gia ôn luyện các Đề thi thử Tốt nghiệp THPT môn Hóa học mới nhất trên khoahoc.vietjack.com để ôn thi Hóa học đạt kết quả cao.