Đề thi thử Tốt nghiệp THPT Hóa học 2025 - 2026 Liên trường Nghệ An (lần 2)
Khoahoc.vietjack.com cập nhật Đề thi thử Tốt nghiệp THPT Hóa học 2025-2026 Liên trường Nghệ An (lần 2) sẽ giúp học sinh có thêm tài liệu ôn thi Tốt nghiệp THPT Hóa học. Mời các bạn đón đọc:
Xem thử Đề thi Tốt nghiệp THPT Hóa 2025Xem thử Đề thi thử Tốt nghiệp THPT Hóa 2025 Xem thử Chuyên đề ôn thi Tốt nghiệp THPT HóaXem thử 1000 câu trắc nghiệm Hóa
Chỉ từ 350k mua trọn bộ đề thi thử Hóa năm 2025 của các Trường/Sở trên cả nước hoặc bộ đề thi Hóa biên soạn theo đề tham khảo theo cấu trúc mới bản word có lời giải chi tiết:
B1: gửi phí vào tk: 1133836868 - CT TNHH DAU TU VA DV GD VIETJACK - Ngân hàng MB (QR)
B2: Nhắn tin tới Zalo VietJack Official - nhấn vào đây để thông báo và nhận đề thi
A. Tóm tắt nội dung một số câu trong Đề thi thử Tốt nghiệp THPT Hóa học
Phần I: Câu trắc nghiệm nhiều phương án lựa chọn. Thí sinh trả lời từ câu 1 đến câu 18. Mỗi câu hỏi thí sinh chỉ chọn một phương án.
Câu 1. Cho các phát biểu sau về tính chất của methylamine:
(a) Methylamine làm giấy quỳ tím ẩm hóa đỏ.
(b) Methylamine phản ứng được với nitrous acid (axit nitrơ) theo phương trình hóa học
CH3NH2 + HNO2 → CH3OH + N2 + H2O
(c) Methylamine không phản ứng được với dung dịch FeCl3 ở điều kiện thường.
(d) Methylamine là amine bậc một.
Số phát biểu đúng là
A. 1.
B. 2.
C. 4.
D. 3.
Câu 2. Đèn hơi sodium (Na) làm đèn đường cho ánh sáng màu vàng có ưu điểm hơn so bóng đèn sợi đốt: tiết kiệm, ánh sáng xuyên qua sương mù rất tốt. Số hiệu nguyên tử của Na bằng 11. Ở trạng thái cơ bản cấu hình electron ion Na+ là
A. 1s22s22p6.
B. 1s22s22p53s1.
C. 1s22s22p43s3.
D. 1s22s22p63s1.
Câu 3. Hợp chất H2N-CH(CH3)-COOH là amino acid phổ biến thứ hai trong cấu trúc protein sau NH2-CH2-COOH. Hợp chất H2N-CH(CH3)-COOH có tên là
A. valine.
B. lysine.
C. alanine.
D. glycine.
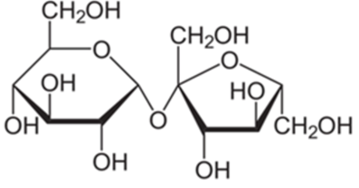
Câu 4. Cho cấu trúc carbohydrate X như sau:

Carbohydrate X là
A. maltose.
B. saccharose.
C. fructose.
D. cellulose.
...........................................................................................
PHẦN II. Câu trắc nghiệm đúng sai. Thí sinh trả lời từ câu 19 đến câu 22. Trong mỗi ý a), b), c), d) ở mỗi câu, thí sinh chọn đúng hoặc sai.
...........................................................................................
PHẦN III. Câu trắc nghiệm trả lời ngắn. Thí sinh trả lời từ câu 23 đến câu 28.
Câu 1. Xăng E5 là một loại xăng sinh học, được tạo thành khi trộn 5 thể tích C2H5OH (D = 0,8 g/mL) với 95 thể tích xăng truyền thống. Giả sử xăng truyền thống chỉ chứa hai alkane C8H18 và C9H20 (tỷ lệ mol tương ứng 3:4, D = 0,7 g/mL). Biết nhiệt lượng tỏa ra khi đốt cháy các chất trong xăng E5 như sau:
|
Thành phần xăng E5 |
C2H5OH |
C8H18 |
C9H20 |
|
Nhiệt tỏa ra (kJ/mol) |
1365,0 |
5928,7 |
6119,8 |
Trung bình, một chiếc xe máy di chuyển được 1 km thì cần một nhiệt lượng chuyển thành công cơ học có độ lớn là 211,8 kJ. Nếu chiếc xe máy đó di chuyển từ phường Thành Vinh, Nghệ An đến phường Thành Sen, Hà Tĩnh với quãng đường là 55 km thì hết khoảng bao nhiêu lít xăng? (biết hiệu suất sử dụng nhiên liệu của động cơ xe máy là 30%). (làm tròn đáp án đến hàng phần trăm).
...........................................................................................
B. Nội dung Đề thi thử Tốt nghiệp THPT Hóa học 2025-2026 Liên trường Nghệ An (lần 2)








C. Chiến lược ôn thi Tốt nghiệp THPT Hóa học hiệu quả
Qua đề thi thử Tốt nghiệp THPT Hóa học 2025-2026 Liên trường Nghệ An (lần 2) trên, các em đã nắm được cấu trúc cũng như các dạng bài tập có trong đề thi. Cùng tham gia ôn luyện các Đề thi thử Tốt nghiệp THPT môn Hóa học mới nhất trên khoahoc.vietjack.com để ôn thi Hóa học đạt kết quả cao.