Cho phương trình \({\log _{\frac{1}{2}}}\left( {m + 6{\rm{x}}} \right) + {\log _2}\left( {3 - 2{\rm{x}} - {x^2}} \right) = 0\). Có bao nhiêu giá trị nguyên dương của tham số \[m\] để phương trình đã cho có nghiệm?
Quảng cáo
Trả lời:
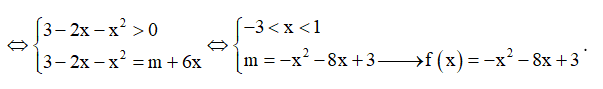
Ta có \({\log _{\frac{1}{2}}}\left( {m + 6{\rm{x}}} \right) + {\log _2}\left( {3 - 2{\rm{x}} - {x^2}} \right) = 0 \Leftrightarrow {\log _2}\left( {3 - 2{\rm{x}} - {x^2}} \right) = {\log _2}\left( {m + 6{\rm{x}}} \right)\)

Xét hàm số \(f\left( x \right) = - {x^2} - 8{\rm{x}} + 3\) trên \(\left( { - 3;1} \right)\), có \(f'\left( x \right) = - 2{\rm{x}} - 8 < 0;\forall x \in \left( { - 3;1} \right)\).
Khi đó, hàm số \(f\left( x \right)\) nghịch biến trên khoảng \(\left( { - 3;1} \right)\).
Do đó, để \(m = f\left( x \right)\) có nghiệm thuộc \(\left( { - 3;1} \right) \Leftrightarrow f\left( 1 \right) < m < f\left( { - 3} \right) \Leftrightarrow - 6 < m < 18\).
Kết hợp với \[m\] nguyên dương có 17 giá trị cần tìm. Chọn A.
Hot: 1000+ Đề thi giữa kì 2 file word cấu trúc mới 2026 Toán, Văn, Anh... lớp 1-12 (chỉ từ 60k). Tải ngay
- Tuyển tập 15 đề thi Đánh giá tư duy Đại học Bách Khoa Hà Nội 2025 (Tập 1) ( 39.000₫ )
- Tuyển tập 30 đề thi đánh giá năng lực Đại học Quốc gia Hà Nội 2025 (Tập 1) ( 39.000₫ )
- Tuyển tập 30 đề thi đánh giá năng lực Đại học Quốc gia TP Hồ Chí Minh (2 cuốn) ( 140.000₫ )
- Tuyển tập 30 đề thi đánh giá năng lực Đại học Quốc gia Hà Nội, TP Hồ Chí Minh (2 cuốn) ( 150.000₫ )
CÂU HỎI HOT CÙNG CHỦ ĐỀ
Câu 1
Lời giải
Gọi biến cố \({A_i}\): “Lần bắn thứ \(i\) trúng đích” với \(i = 1,\,2\).
Biến cố \(\overline {{A_i}} \): “Lần bắn thứ \(i\) không trúng đích” với \(i = 1,\,2\).
Ta có \(P\left( {{A_1}} \right) = \,0,7;\,\,P\left( {{A_2}} \right) = \,0,8;\,\,P\left( {\overline {{A_1}} } \right) = \,0,3;\,\,P\left( {\overline {{A_2}} } \right) = \,0,2.\)
Gọi biến cố \(B\): “Cả hai lần bắn đều không trúng đích”.
Ta có \(B = \overline {{A_1}} \overline {{A_2}} \)và \(\overline {{A_1}} ;\,\,\overline {{A_2}} \)là hai biến cố độc lập.
\( \Rightarrow P\left( B \right) = P\left( {\overline {{A_1}} } \right) \cdot P\left( {\overline {{A_2}} } \right) = 0,3 \cdot 0,2 = 0,06.\) Chọn B.
Câu 2
A. sustainability.
B. unsustainable.
C. sustain.
D. sustainable.
Lời giải
Kiến thức về từ loại
A. sustainability (n): tính bền vững
B. unsustainable (adj): không bền vững
C. sustain (v): duy trì
D. sustainable (adj): bền vững
Chỗ trống cần 1 tính từ để bổ nghĩa cho danh từ “world” phía sau. Dựa vào nghĩa, chọn D.
Dịch: Bình đẳng giới không chỉ là quyền cơ bản của con người mà còn là nền tảng cần thiết cho một thế giới hòa bình, thịnh vượng và bền vững.Lời giải
Bạn cần đăng ký gói VIP ( giá chỉ từ 199K ) để làm bài, xem đáp án và lời giải chi tiết không giới hạn.
Lời giải
Bạn cần đăng ký gói VIP ( giá chỉ từ 199K ) để làm bài, xem đáp án và lời giải chi tiết không giới hạn.
Câu 5
Lời giải
Bạn cần đăng ký gói VIP ( giá chỉ từ 199K ) để làm bài, xem đáp án và lời giải chi tiết không giới hạn.
Lời giải
Bạn cần đăng ký gói VIP ( giá chỉ từ 199K ) để làm bài, xem đáp án và lời giải chi tiết không giới hạn.
Câu 7
Lời giải
Bạn cần đăng ký gói VIP ( giá chỉ từ 199K ) để làm bài, xem đáp án và lời giải chi tiết không giới hạn.



