Ở người, tính trạng hói đầu do một gene có 2 allele quy định, allele B quy định hói đầu, allele b quy định kiểu hình bình thường. Kiểu gene Bb quy định hói đầu ở nam và bình thường ở nữ. Trong một quần thể cân bằng di truyền, trung bình cứ 10.000 người thì có 100 người bị hói. Tỉ lệ người có kiểu gene bb trong quần thể là bao nhiêu? (Viết kết quả dưới dạng số thập phân, làm tròn 2 chữ số sau dấu phẩy)
Ở người, tính trạng hói đầu do một gene có 2 allele quy định, allele B quy định hói đầu, allele b quy định kiểu hình bình thường. Kiểu gene Bb quy định hói đầu ở nam và bình thường ở nữ. Trong một quần thể cân bằng di truyền, trung bình cứ 10.000 người thì có 100 người bị hói. Tỉ lệ người có kiểu gene bb trong quần thể là bao nhiêu? (Viết kết quả dưới dạng số thập phân, làm tròn 2 chữ số sau dấu phẩy)
Quảng cáo
Trả lời:
Đáp án:
Đáp án: 0,98
Nội dung kiến thức: Di truyền học quần thể
Thành phần năng lực: Nhận thức sinh học
Mức độ nhận thức: Vận dụng
HD:
Nam: bị hói: BB, Bb; bình thường: bb
Nữ: bị hói BB; bình thường: Bb, bb
Gọi p là tần số allele B
q là tần số allele b.
|
|
(p) B |
(q) b |
||
|
|
Nam |
Nữ |
Nam |
Nữ |
|
(p) B |
(p)2 /2 BB |
(p)2 /2 BB |
(pq) /2 Bb |
(pq) /2 Bb |
|
(q) b |
(pq) /2 Bb |
(pq) /2 Bb |
q2 /2 bb |
q2 /2 bb |

Ta có: q = 1 – p
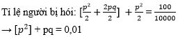
→ p = 0,01; q = 0,99
Cấu trúc di truyền của quần thể: p2 BB + 2 pq Bb + q2 bb = 1
0,0001 BB + 0,0198 Bb + 0,9801 bb = 1
Tỉ lệ người có kiểu gene bb = 0,9801 ≈ 0,98
Hot: 1000+ Đề thi cuối kì 2 file word cấu trúc mới 2026 Toán, Văn, Anh... lớp 1-12 (chỉ từ 60k). Tải ngay
CÂU HỎI HOT CÙNG CHỦ ĐỀ
Lời giải
Hướng dẫn giải:
- 1, 2, 4 đúng.
- 3 sai vì nhìn vào cây tiến hoá, ta thây thú ở gần lưỡng cư và xa chim nên có thể nhầm tưởng chúng có họ hàng gần gũi với lưỡng cư hơn. Thực chất, thú và chim có chung gốc thứ 3 nên thú có họ hàng gần với chim hơn là với lưỡng cư.
Đáp án cần chọn là: B
Câu 2
Lời giải
a) Đúng. Quan hệ cạnh tranh:
- Là quan hệ đối kháng điển hình giữa hai loài sinh vật trong đó các loài cạnh tranh nguồn dinh dưỡng và nơi ở.
- Quan hệ cạnh tranh giữa các loài là tác nhân chủ yếu quyết định cấu trúc và sự phát triển của quần xã sinh vật dẫn tới hình thành nên các ổ sinh thái.
- Khi nuôi chung hai loài ở cùng môi trường, có một loài phát triển hơn vì mỗi loài thích nghi hơn ở môi trường cụ thể.
b) Sai. Dựa vào đồ thị hình a, độ che phủ ở đất kiềm của Gs giảm về 0% sau khoảng 1 năm.
=> Loài Gs không giảm về 0% ngay trong năm đầu.
c) Sai. Cả hai loài đều có thể sinh trưởng tốt trên cả hai loại đất khi trồng riêng lẻ. Do đó, Gp không chỉ phù hợp với đất kiềm.
d) Sai. Khi trồng chung, một loài (Gp) phát triển mạnh và lấn át loài còn lại (Gs), dẫn đến mất cân bằng sinh thái vì một loài có thể bị loại trừ hoàn toàn.
Lời giải
Bạn cần đăng ký gói VIP ( giá chỉ từ 250K ) để làm bài, xem đáp án và lời giải chi tiết không giới hạn.
Câu 4
Lời giải
Bạn cần đăng ký gói VIP ( giá chỉ từ 250K ) để làm bài, xem đáp án và lời giải chi tiết không giới hạn.
Câu 5
Lời giải
Bạn cần đăng ký gói VIP ( giá chỉ từ 250K ) để làm bài, xem đáp án và lời giải chi tiết không giới hạn.
Câu 6
Lời giải
Bạn cần đăng ký gói VIP ( giá chỉ từ 250K ) để làm bài, xem đáp án và lời giải chi tiết không giới hạn.




