Cho hàm số \(f\left( x \right)\) liên tục trên khoảng \(\left( {0; + \infty } \right)\) thỏa mãn \(f\left( x \right) + 2xf'\left( x \right) = 6{x^2}\sqrt x ,\forall x \in \left( {0; + \infty } \right)\) và \(f\left( 4 \right) = 33\). Tính .
Quảng cáo
Trả lời:
Đáp án đúng là C
Phương pháp giải
Áp dụng công thức \(\mathop \smallint \nolimits^ \left[ {u'\left( x \right)v\left( x \right) + u\left( x \right).v'\left( x \right)} \right]dx = u\left( x \right).v\left( x \right) + C\).
Lời giải
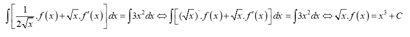
Ta có \(f\left( x \right) + 2xf'\left( x \right) = 6{x^2}\sqrt x \Leftrightarrow \frac{1}{{2\sqrt x }}.f\left( x \right) + \sqrt x .f'\left( x \right) = 3{x^2}\) (chia hai vế cho \(2\sqrt x > 0\))
Do đó:

\( \Leftrightarrow f\left( x \right) = {x^2}\sqrt x + \frac{C}{{\sqrt x }}\)
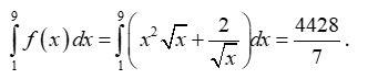
Do \(f\left( 4 \right) = 33\) nên \(33 = {4^2}\sqrt 4 + \frac{C}{{\sqrt 4 }} \Leftrightarrow C = 2\). Suy ra \(f\left( x \right) = {x^2}\sqrt x + \frac{2}{{\sqrt x }}\).
Vậy 
Hot: 1000+ Đề thi giữa kì 2 file word cấu trúc mới 2026 Toán, Văn, Anh... lớp 1-12 (chỉ từ 60k). Tải ngay
- Tuyển tập 15 đề thi Đánh giá tư duy Đại học Bách Khoa Hà Nội 2025 (Tập 1) ( 39.000₫ )
- Tuyển tập 30 đề thi đánh giá năng lực Đại học Quốc gia TP Hồ Chí Minh (2 cuốn) ( 140.000₫ )
- Tuyển tập 30 đề thi đánh giá năng lực Đại học Quốc gia Hà Nội 2025 (Tập 1) ( 39.000₫ )
- Tuyển tập 30 đề thi đánh giá năng lực Đại học Quốc gia Hà Nội, TP Hồ Chí Minh (2 cuốn) ( 150.000₫ )
CÂU HỎI HOT CÙNG CHỦ ĐỀ
Câu 1
Lời giải
Đáp án đúng là C
Phương pháp giải
Sử dụng định lý quan hệ giữa tính đơn điệu của hàm số và dấu của đạo hàm: Cho hàm số \(y = f\left( x \right)\) có đạo hàm trên \(K\). Nếu \(f'\left( x \right) > 0,\forall x \in K\) thì hàm số \(y = f\left( x \right)\) đồng biến trên \(K\). Nếu \(f'\left( x \right) < 0,\forall x \in K\) thì hàm số \(y = f\left( x \right)\) nghịch biến trên \(K\).
Lời giải
\(f'\left( x \right) = \left( {{x^2} - 4x + 3} \right)\left( {x - 3} \right)\left( {2 - x} \right) \Leftrightarrow f'\left( x \right) = \left( {x - 1} \right){(x - 3)^2}\left( {2 - x} \right)\)
\(f'\left( x \right) = 0 \Leftrightarrow x = 1\left( n \right) \vee x = 3\left( l \right) \vee x = 2\left( n \right)\)
BBT

Dựa vào BBT, hàm số đã cho nghịch biến trên các khoảng \(\left( { - \infty ;1} \right)\) và \(\left( {2; + \infty } \right)\).
Lời giải
Đáp án đúng là "4"
Phương pháp giải
Vẽ bảng biến thiên của của hàm số \(f\left( x \right)\) trên \(\left[ { - 4; - 2} \right)\) rồi dựa vào bảng biến thiên kết luận giá trị nhỏ nhất của \(f\left( x \right)\).
Lời giải
Xét các hàm số \(h\left( x \right) = \left| {{x^4} - 2{x^2} - 3} \right|\) và \(u\left( x \right) = \left| {{x^4} - 2{x^2} - 3} \right| + m\).
Ta có hàm số \(u\left( x \right)\) và \(h\left( x \right)\) có cùng số điểm cực trị.
Đồ thị hàm số \(h\left( x \right) = \left| {{x^4} - 2{x^2} - 3} \right|\) như sau:

Từ đó suy ra hàm số \(u\left( x \right) = \left| {{x^4} - 2{x^2} - 3} \right| + m\) cũng có 5 điểm cực trị.
Dựa vào xét dấu đạo hàm của hàm số \(f\left( x \right)\) ở đề bài,suy ra \(f\left( x \right)\) có 2 điểm cực trị là \(x = 4\) và \(x = 5\).
Ta có \(g\left( x \right) = f\left( {\left| {{x^4} - 2{x^2} - 3} \right| + m} \right)\)

Vì \(u\left( x \right) = \left| {{x^4} - 2{x^2} - 3} \right| + m\) có 5 điểm cực trị nên phương trình
có 5 nghiệm bội lẻ phân biệt.
Do đó, để hàm số \(g\left( x \right) = f\left( {\left| {{x^4} - 2{x^2} - 3} \right| + m} \right)\) có ít nhất 7 điểm cực trị thì phương trình \(f'\left( {\left| {{x^4} - 2{x^2} - 3} \right| + m} \right) = 0\) có ít nhất 2 nghiệm phân biệt khác các nghiệm của (1).
Ta có
\(f'\left( {\left| {{x^4} - 2{x^2} - 3} \right| + m} \right) = 0 \Leftrightarrow \left[ {\begin{array}{*{20}{l}}{\left| {{x^4} - 2{x^2} - 3} \right| + m = 4}\\{\left| {{x^4} - 2{x^2} - 3} \right| + m = 5}\end{array}} \right.\)
\( \Leftrightarrow \left[ {\begin{array}{*{20}{l}}{\left| {{x^4} - 2{x^2} - 3} \right| = 4 - m}\\{\left| {{x^4} - 2{x^2} - 3} \right| = 5 - m}\end{array}} \right.\) (2)
Để (2) có ít nhất 2 nghiệm phân biệt khác các nghiệm của (1) thì \(5 - m > 0 \Leftrightarrow m < 5\).
Mà \(m\) là số nguyên dương nên có 4 giá trị của tham số \(m\) thỏa yêu cầu bài toán.
Lời giải
Bạn cần đăng ký gói VIP ( giá chỉ từ 199K ) để làm bài, xem đáp án và lời giải chi tiết không giới hạn.
Lời giải
Bạn cần đăng ký gói VIP ( giá chỉ từ 199K ) để làm bài, xem đáp án và lời giải chi tiết không giới hạn.
Lời giải
Bạn cần đăng ký gói VIP ( giá chỉ từ 199K ) để làm bài, xem đáp án và lời giải chi tiết không giới hạn.
Lời giải
Bạn cần đăng ký gói VIP ( giá chỉ từ 199K ) để làm bài, xem đáp án và lời giải chi tiết không giới hạn.
Lời giải
Bạn cần đăng ký gói VIP ( giá chỉ từ 199K ) để làm bài, xem đáp án và lời giải chi tiết không giới hạn.

