Một chiếc xe hơi công thức 1 khi tăng tốc có thể đạt tới tốc độ lớn nhất là \(360{\rm{\;km/h}}\), chỉ mất 11 giây kể từ lúc bắt đầu chuyển động. Quỹ đạo chuyển động của xe là một đường thẳng. Xe chuyển động với tốc độ \(v\left( t \right)\left( {{\rm{m/s}}} \right)\) là một hàm số liên tục theo thời gian \(t\) (giây). Trong 3 giây đầu tiên, xe có tốc độ \(v\left( t \right) = 4{t^2}\left( {0 \le t \le 3} \right)\). Từ giây thứ 3 đến giây thứ 11 xe chạy với gia tốc không đổi là \(a\left( {{\rm{m/}}{{\rm{s}}^2}} \right)\).
Một chiếc xe hơi công thức 1 khi tăng tốc có thể đạt tới tốc độ lớn nhất là \(360{\rm{\;km/h}}\), chỉ mất 11 giây kể từ lúc bắt đầu chuyển động. Quỹ đạo chuyển động của xe là một đường thẳng. Xe chuyển động với tốc độ \(v\left( t \right)\left( {{\rm{m/s}}} \right)\) là một hàm số liên tục theo thời gian \(t\) (giây). Trong 3 giây đầu tiên, xe có tốc độ \(v\left( t \right) = 4{t^2}\left( {0 \le t \le 3} \right)\). Từ giây thứ 3 đến giây thứ 11 xe chạy với gia tốc không đổi là \(a\left( {{\rm{m/}}{{\rm{s}}^2}} \right)\).
Giá trị của \(a\) là:
Quảng cáo
Trả lời:
Đáp án đúng là B
Phương pháp giải
Một vật chuyển động thẳng, có quãng đường, tốc độ, gia tốc lần lượt là các hàm số \(s\left( t \right),v\left( t \right)\), \(a\left( t \right)\) theo thời gian \(t\). Khi đó ta có: \(s\left( t \right) = \mathop \smallint \nolimits^ v\left( t \right)dt;v\left( t \right) = \mathop \smallint \nolimits^ a\left( t \right)dt\).
Lời giải
Đổi \(360{\rm{\;km/h}} = 100{\rm{\;m/s}}\)
Hàm số tốc độ trong khoảng thời gian từ giây thứ 3 đến giây thứ 11 là
\(v\left( t \right) = \mathop \smallint \nolimits^ adt = at + C\,\,\left( {3 \le t \le 11} \right)\)
Ta có \(v\left( 3 \right) = {4.3^2} = 36\) và \(v\left( {11} \right) = 100\) nên \(\left\{ {\begin{array}{*{20}{l}}{3a + C = 36}\\{11a + C = 100}\end{array} \Leftrightarrow \left\{ {\begin{array}{*{20}{l}}{a = 8}\\{C = 12}\end{array}} \right.} \right.\).
Vậy từ giây thứ 3 đến giây thứ 11 xe chạy với gia tốc không đổi là \(8{\rm{\;m/}}{{\rm{s}}^2}\).
Câu hỏi cùng đoạn
Câu 2:
Quãng đường xe đi được kể từ lúc bắt đầu chuyển động cho đến khi đạt tốc độ lớn nhất là bao nhiêu mét?
Đáp án đúng là C
Phương pháp giải
Một vật chuyển động thẳng, có quãng đường, tốc độ lần lượt là các hàm số \(s\left( t \right),v\left( t \right)\) theo thời gian \(t\). Khi đó quãng đường mà vật chuyển động từ thời điểm \(t = a\) đến thời điểm \(t = b\) là:.
Lời giải
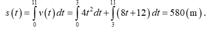
Ta có hàm số \(v\left( t \right) = \left\{ {\begin{array}{*{20}{l}}{4{t^2}{\rm{\;}}khi\,\,\;0 \le t < 3}\\{8t + 12{\rm{\;}}khi\;\,\,3 \le t < 11}\end{array}} \right.\).
Quãng đường xe đi được kể từ lúc bắt đầu chuyển động cho đến khi đạt tốc độ lớn nhất là:

Câu 3:
Biết rằng ngay sau khi đạt được tốc độ lớn nhất, xe chuyển động thẳng đều trong 5 giây rồi hãm phanh với gia tốc hãm là \({a_h} = 10{\rm{\;m/}}{{\rm{s}}^2}\) để dừng lại. Tốc độ trung bình của xe kể từ lúc bắt đầu chuyển động cho đến lúc dừng hẳn bằng \(\frac{m}{n}\left( {{\rm{m/s}}} \right)\), trong đó \(\frac{m}{n}\) là một phân số tối giản. Tính giá trị của biểu thức \(T = m + n\).
Đáp án đúng là B
Phương pháp giải
Cho hàm số \(f\left( x \right)\) liên tục trên đoạn \(\left[ {a;b} \right]\). Khi đó \(\frac{1}{{b - a}}\int\limits_a^b {f\left( x \right)dx} \) được gọi là giá trị trung bình của hàm số \(f\left( x \right)\) trên đoạn \(\left[ {a;b} \right]\).
Lời giải
Kể từ giây thứ 16, xe bắt đầu hãm phanh với gia tốc hãm là \({a_h} = 10{\rm{\;m/}}{{\rm{s}}^2}\) để dừng lại.
Hàm số tốc độ trong khoảng thời gian từ giây thứ 16 cho đến khi xe dừng hẳn là
\(v\left( t \right) = \mathop \smallint \nolimits^ - 10dt = - 10t + C\left( {t \ge 16} \right)\)
Ta có \(v\left( {16} \right) = 100\) nên \( - 10.16 + C = 100 \Rightarrow C = 260\). Do đó \(v\left( t \right) = - 10t + 260\left( {t \ge 16} \right)\)
Do \(v\left( t \right) = 0 \Leftrightarrow - 10t + 260 = 0 \Leftrightarrow t = 26\) nên thời điểm xe dừng hẳn là \(t = 26\) (s).
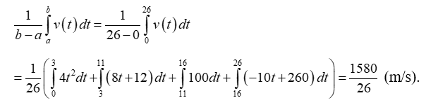
Ta có hàm số \(v\left( t \right) = \left\{ {\begin{array}{*{20}{l}}{4{t^2}{\rm{\;\;khi\;}}\,\,0 \le t < 3}\\{8t + 12{\rm{\;khi\;}}\,\,3 \le t < 11}\\{100{\rm{\;\;khi\;}}\,\,11 \le t < 16}\\{ - 10t + 260\;\,\,{\rm{khi\;}}\,\,16 \le t \le 26}\end{array}} \right.\).
Tốc độ trung bình của xe kể từ lúc bắt đầu chuyển động cho đến lúc dừng hẳn là:

Do đó \(m = 1580;n = 26\). Vậy \(T = m + n = 1580 + 26 = 1606\).
Hot: 1000+ Đề thi giữa kì 2 file word cấu trúc mới 2026 Toán, Văn, Anh... lớp 1-12 (chỉ từ 60k). Tải ngay
- Tuyển tập 30 đề thi đánh giá năng lực Đại học Quốc gia TP Hồ Chí Minh (2 cuốn) ( 140.000₫ )
- Tuyển tập 30 đề thi đánh giá năng lực Đại học Quốc gia Hà Nội 2025 (Tập 1) ( 39.000₫ )
- Tuyển tập 15 đề thi Đánh giá tư duy Đại học Bách Khoa Hà Nội 2025 (Tập 1) ( 39.000₫ )
- Tuyển tập 30 đề thi đánh giá năng lực Đại học Quốc gia Hà Nội, TP Hồ Chí Minh (2 cuốn) ( 150.000₫ )
CÂU HỎI HOT CÙNG CHỦ ĐỀ
Câu 1
Lời giải
Đáp án đúng là C
Phương pháp giải
Sử dụng định lý quan hệ giữa tính đơn điệu của hàm số và dấu của đạo hàm: Cho hàm số \(y = f\left( x \right)\) có đạo hàm trên \(K\). Nếu \(f'\left( x \right) > 0,\forall x \in K\) thì hàm số \(y = f\left( x \right)\) đồng biến trên \(K\). Nếu \(f'\left( x \right) < 0,\forall x \in K\) thì hàm số \(y = f\left( x \right)\) nghịch biến trên \(K\).
Lời giải
\(f'\left( x \right) = \left( {{x^2} - 4x + 3} \right)\left( {x - 3} \right)\left( {2 - x} \right) \Leftrightarrow f'\left( x \right) = \left( {x - 1} \right){(x - 3)^2}\left( {2 - x} \right)\)
\(f'\left( x \right) = 0 \Leftrightarrow x = 1\left( n \right) \vee x = 3\left( l \right) \vee x = 2\left( n \right)\)
BBT

Dựa vào BBT, hàm số đã cho nghịch biến trên các khoảng \(\left( { - \infty ;1} \right)\) và \(\left( {2; + \infty } \right)\).
Lời giải
Đáp án đúng là "4"
Phương pháp giải
Vẽ bảng biến thiên của của hàm số \(f\left( x \right)\) trên \(\left[ { - 4; - 2} \right)\) rồi dựa vào bảng biến thiên kết luận giá trị nhỏ nhất của \(f\left( x \right)\).
Lời giải
Xét các hàm số \(h\left( x \right) = \left| {{x^4} - 2{x^2} - 3} \right|\) và \(u\left( x \right) = \left| {{x^4} - 2{x^2} - 3} \right| + m\).
Ta có hàm số \(u\left( x \right)\) và \(h\left( x \right)\) có cùng số điểm cực trị.
Đồ thị hàm số \(h\left( x \right) = \left| {{x^4} - 2{x^2} - 3} \right|\) như sau:

Từ đó suy ra hàm số \(u\left( x \right) = \left| {{x^4} - 2{x^2} - 3} \right| + m\) cũng có 5 điểm cực trị.
Dựa vào xét dấu đạo hàm của hàm số \(f\left( x \right)\) ở đề bài,suy ra \(f\left( x \right)\) có 2 điểm cực trị là \(x = 4\) và \(x = 5\).
Ta có \(g\left( x \right) = f\left( {\left| {{x^4} - 2{x^2} - 3} \right| + m} \right)\)

Vì \(u\left( x \right) = \left| {{x^4} - 2{x^2} - 3} \right| + m\) có 5 điểm cực trị nên phương trình
có 5 nghiệm bội lẻ phân biệt.
Do đó, để hàm số \(g\left( x \right) = f\left( {\left| {{x^4} - 2{x^2} - 3} \right| + m} \right)\) có ít nhất 7 điểm cực trị thì phương trình \(f'\left( {\left| {{x^4} - 2{x^2} - 3} \right| + m} \right) = 0\) có ít nhất 2 nghiệm phân biệt khác các nghiệm của (1).
Ta có
\(f'\left( {\left| {{x^4} - 2{x^2} - 3} \right| + m} \right) = 0 \Leftrightarrow \left[ {\begin{array}{*{20}{l}}{\left| {{x^4} - 2{x^2} - 3} \right| + m = 4}\\{\left| {{x^4} - 2{x^2} - 3} \right| + m = 5}\end{array}} \right.\)
\( \Leftrightarrow \left[ {\begin{array}{*{20}{l}}{\left| {{x^4} - 2{x^2} - 3} \right| = 4 - m}\\{\left| {{x^4} - 2{x^2} - 3} \right| = 5 - m}\end{array}} \right.\) (2)
Để (2) có ít nhất 2 nghiệm phân biệt khác các nghiệm của (1) thì \(5 - m > 0 \Leftrightarrow m < 5\).
Mà \(m\) là số nguyên dương nên có 4 giá trị của tham số \(m\) thỏa yêu cầu bài toán.
Lời giải
Bạn cần đăng ký gói VIP ( giá chỉ từ 199K ) để làm bài, xem đáp án và lời giải chi tiết không giới hạn.
Lời giải
Bạn cần đăng ký gói VIP ( giá chỉ từ 199K ) để làm bài, xem đáp án và lời giải chi tiết không giới hạn.
Lời giải
Bạn cần đăng ký gói VIP ( giá chỉ từ 199K ) để làm bài, xem đáp án và lời giải chi tiết không giới hạn.
Lời giải
Bạn cần đăng ký gói VIP ( giá chỉ từ 199K ) để làm bài, xem đáp án và lời giải chi tiết không giới hạn.
Lời giải
Bạn cần đăng ký gói VIP ( giá chỉ từ 199K ) để làm bài, xem đáp án và lời giải chi tiết không giới hạn.

