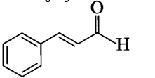
Từ một loại tinh dầu thảo mộc, người ta tách được hợp chất hữu cơ A có mùi thơm. Bằng phương pháp phân tích nguyên tố, người ta thấy rằng A chứa 81,82%C và 6,06% H về khối lượng, còn lại là Oxygene. Phổ MS cho thấy A có phân tử khối bằng 132. Trên phổ IR của A có một tín hiệu đặc trưng ở 1746 cm-1. Chất A có phản ứng tráng bạc, làm mất màu dung dịch Br2/CCl4 và khi bị oxi hoá bằng dung dịch KMnO4 nóng, thu được benzoic acid.

(a) Xác định công thức phân tử, viết công thức cấu tạo của A, biết trong tự nhiên A tồn tại ở dạng trans.
(b) Viết PTHH của A với dung dịch Br2/CCl4.
Câu hỏi trong đề: Bộ 71 đề thi cuối kì 2 Hóa học 11 năm 2023-2024 có đáp án !!
Quảng cáo
Trả lời:
a) Từ thành phần nguyên tố, xác định được công thức đơn giản nhất của A là C9H8O. Kết hợp với giá trị phân tử khối, xác định được công thức phân tử của A là C9H8O.
- Trên phổ IR của A có một tín hiệu đặc trưng ở 1 746 cm-1 chứng tỏ A chứa nhóm C=O.
- A có phản ứng tráng bạc trứng tỏ A là aldehyde.
- A làm mất màu dung dịch Br2/CCl4 chứng tỏ trong A chứa C=C.
- Khi bị oxi hoá bằng dung dịch KMnO4 nóng, thu được benzoic acid, chứng tỏ A là dẫn xuất một lần thế của benzene.
b) C6H5-CH=CH-CHO + Br2/CCl4 C6H5-CHBr-CHBr-CHO
Hot: 1000+ Đề thi cuối kì 2 file word cấu trúc mới 2026 Toán, Văn, Anh... lớp 1-12 (chỉ từ 60k). Tải ngay
CÂU HỎI HOT CÙNG CHỦ ĐỀ
Lời giải
Đáp án đúng là A
Câu 2
A1, A2, A3 có cùng công thức phân tử là C3H6O.
Từ tín hiệu phổ IR cho thấy A1, A2 là hợp chất carbonyl còn A3 là alcohol.
Khử chất A1 và A2 bằng LiAlH4 thu được sản phẩm là A3.
Nhiệt độ sôi của A1, A2, A3 là như nhau vì chúng là đồng phân của nhau.
Lời giải
Đ-Đ-S-S
Câu 3
CH2=CHCH2CH3
CH3CH=CHCH3
CH3CH=CH2
CH3CH=C(CH3)2
Lời giải
Bạn cần đăng ký gói VIP ( giá chỉ từ 250K ) để làm bài, xem đáp án và lời giải chi tiết không giới hạn.
Lời giải
Bạn cần đăng ký gói VIP ( giá chỉ từ 250K ) để làm bài, xem đáp án và lời giải chi tiết không giới hạn.
Lời giải
Bạn cần đăng ký gói VIP ( giá chỉ từ 250K ) để làm bài, xem đáp án và lời giải chi tiết không giới hạn.
Lời giải
Bạn cần đăng ký gói VIP ( giá chỉ từ 250K ) để làm bài, xem đáp án và lời giải chi tiết không giới hạn.



