Đề thi thử Tốt nghiệp THPT Toán 2025-2026 cụm trường THPT Quế Võ 1 – Thuận Thành 1 – Lê Văn Thịnh (Bắc Ninh)
Khoahoc.vietjack.com cập nhật Đề thi thử Tốt nghiệp THPT Toán 2025-2026 cụm trường THPT Quế Võ 1 – Thuận Thành 1 – Lê Văn Thịnh, tỉnh Bắc Ninh sẽ giúp học sinh có thêm tài liệu ôn thi Tốt nghiệp THPT Toán. Mời các bạn đón đọc:
Xem thử Đề thi Tốt nghiệp THPT Toán 2025 Xem thử Đề thi thử Tốt nghiệp THPT Toán 2025Xem thử Chuyên đề ôn thi Tốt nghiệp THPT Toán
Chỉ từ 350k mua trọn bộ đề thi Tốt nghiệp THPT Toán năm 2026 theo cấu trúc mới bản word có lời giải chi tiết:
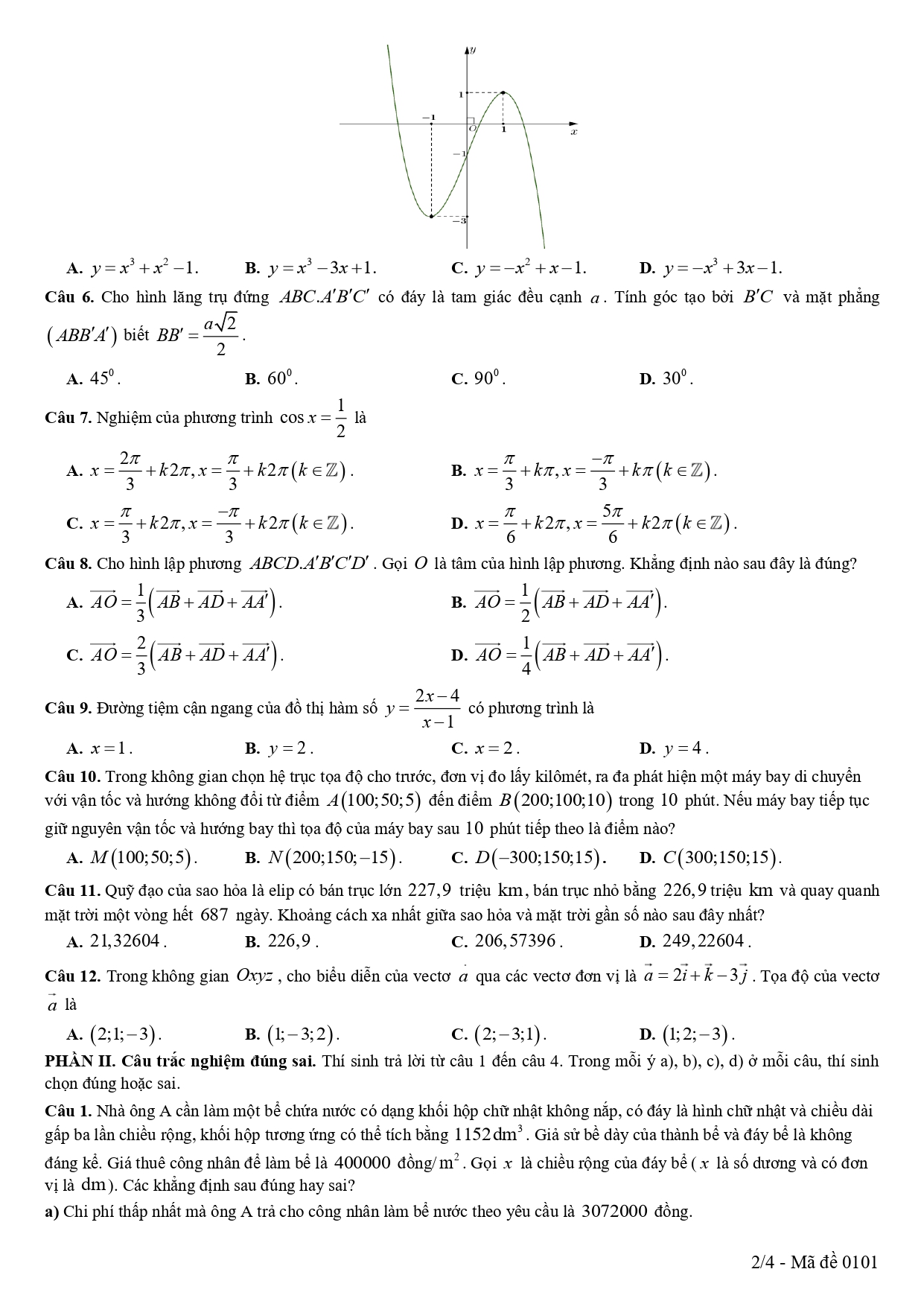
A. Tóm tắt nội dung một số câu trong Đề thi thử Tốt nghiệp THPT Toán
Câu 10. Trong không gian chọn hệ trục tọa độ cho trước, đơn vị đo lấy kilômét, ra đa phát hiện một máy bay di chuyển với vận tốc và hướng không đổi từ điểm A(100;50;5) đến điểm B(200;100;10) trong 10 phút. Nếu máy bay tiếp tục giữ nguyên vận tốc và hướng bay thì tọa độ của máy bay sau 10 phút tiếp theo là điểm nào?
A. M (100;50;5).
B. N (200;150;-15).
C. D(-300;150;15).
D. C(300;150;15).
Câu 11. Quỹ đạo của sao hỏa là elip có bán trục lớn 227,9 triệu km , bán trục nhỏ bằng 226,9 triệu km và quay quanh mặt trời một vòng hết 687 ngày. Khoảng cách xa nhất giữa sao hỏa và mặt trời gần số nào sau đây nhất?
A. 21,32604.
B. 226,9.
C. 206,57396.
D. 249, 22604.
...........................................................................................
PHẦN II. Câu trắc nghiệm đúng sai. Thí sinh trả lời từ câu 1 đến câu 4. Trong mỗi ý a), b), c), d) ở mỗi câu, thí sinh chọn đúng hoặc sai.
...........................................................................................
PHẦN III. Câu trắc nghiệm trả lời ngắn. Thí sinh trả lời từ câu 1 đến câu 6.
Câu 4. Một kiến trúc sư muốn xây dựng 1 tòa nhà biểu tượng độc lạ cho thành phố. Trên bản thiết kế tòa nhà có hình dạng là một khối lăng trụ tam giác đều, có cạnh bên bằng cạnh đáy và dài 306 mét (tham khảo hình vẽ). Kiến trúc sư muốn xây dựng một cây cầu MN bắc xuyên tòa nhà (điểm đầu thuộc cạnh A'C, điểm cuối thuộc cạnh BC') và cây cầu này sẽ được dát vàng với đơn giá 5 tỷ đồng trên 1 mét dài. Vì vậy để đáp ứng bài toán kinh tế, kiến trúc sư phải chọn vị trí cây cầu sao cho MN ngắn nhất. Khi đó giá xây cây cầu này hết bao nhiêu tỷ đồng?
...........................................................................................
B. Nội dung Đề thi thử Tốt nghiệp THPT Toán 2025 - 2026 cụm trường THPT Quế Võ 1 – Thuận Thành 1 – Lê Văn Thịnh (Bắc Ninh)









C. Chiến lược ôn thi Tốt nghiệp THPT Toán hiệu quả
Qua đề thi thử Tốt nghiệp THPT Toán 2025-2026 cụm trường THPT Quế Võ 1 – Thuận Thành 1 – Lê Văn Thịnh (Bắc Ninh) trên, các em đã nắm được cấu trúc cũng như các dạng bài tập có trong đề thi. Cùng tham gia ôn luyện các Đề thi thử Tốt nghiệp THPT môn Toán mới nhất trên khoahoc.vietjack.com để ôn thi Toán đạt kết quả cao.