ĐáP áN - Đề THI ÔN VàO 10 MôN TOáN
Xem nhanh đáp án đề thi - Tổng hợp đề thi đáp án các năm
-
Đề thi tuyển sinh Toán vào lớp 10 (chuyên) năm 2025-2026 sở GD&ĐT Bạc Liêu
Khoahoc.vietjack.com cập nhật Đề thi tuyển sinh Toán vào lớp 10 (chuyên) năm 2025-2026 sở GD&ĐT Bạc Liêu sẽ giúp học sinh nắm được cấu trúc đề thi và có thêm tài liệu ôn thi vào lớp 10 môn Toán. Mời các bạn đón đọc:
13/03/2026 145
-
Đề thi tuyển sinh Toán vào lớp 10 (không chuyên) năm 2025-2026 trường PTNK - TP Hồ Chí Minh
Khoahoc.vietjack.com cập nhật Đề thi tuyển sinh Toán vào lớp 10 (không chuyên) năm 2025-2026 trường PTNK - TP Hồ Chí Minh sẽ giúp học sinh nắm được cấu trúc đề thi và có thêm tài liệu ôn thi vào lớp 10 môn Toán. Mời các bạn đón đọc:
13/03/2026 152
-
Đề thi tuyển sinh Toán vào lớp 10 (chuyên) năm 2025-2026 trường PTNK - TP Hồ Chí Minh
Khoahoc.vietjack.com cập nhật Đề thi tuyển sinh Toán vào lớp 10 (chuyên) năm 2025-2026 trường PTNK - TP Hồ Chí Minh sẽ giúp học sinh nắm được cấu trúc đề thi và có thêm tài liệu ôn thi vào lớp 10 môn Toán. Mời các bạn đón đọc:
13/03/2026 116
-
Đề thi tuyển sinh Toán vào lớp 10 (chung) năm 2025-2026 sở GD&ĐT Lai Châu
Khoahoc.vietjack.com cập nhật Đề thi tuyển sinh Toán vào lớp 10 (chung) năm 2025-2026 sở GD&ĐT Lai Châu sẽ giúp học sinh nắm được cấu trúc đề thi và có thêm tài liệu ôn thi vào lớp 10 môn Toán. Mời các bạn đón đọc:
13/03/2026 94
-
Đề thi tuyển sinh Toán vào lớp 10 (chuyên) năm 2025-2026 sở GD&ĐT Lai Châu
Khoahoc.vietjack.com cập nhật Đề thi tuyển sinh Toán vào lớp 10 (chuyên) năm 2025-2026 sở GD&ĐT Lai Châu sẽ giúp học sinh nắm được cấu trúc đề thi và có thêm tài liệu ôn thi vào lớp 10 môn Toán. Mời các bạn đón đọc:
13/03/2026 57
-
Đề thi tuyển sinh Toán vào lớp 10 năm 2025-2026 sở GD&ĐT Đồng Nai
Khoahoc.vietjack.com cập nhật Đề thi tuyển sinh Toán vào lớp 10 năm 2025-2026 sở GD&ĐT Đồng Nai sẽ giúp học sinh nắm được cấu trúc đề thi và có thêm tài liệu ôn thi vào lớp 10 môn Toán. Mời các bạn đón đọc:
13/03/2026 132
-
Đề thi tuyển sinh Toán (vòng 1) vào lớp 10 năm 2025-2026 trường THPT chuyên Khoa học Huế
Khoahoc.vietjack.com cập nhật Đề thi tuyển sinh Toán (vòng 1) vào lớp 10 năm 2025-2026 trường THPT chuyên Khoa học Huế sẽ giúp học sinh nắm được cấu trúc đề thi và có thêm tài liệu ôn thi vào lớp 10 môn Toán. Mời các bạn đón đọc:
13/03/2026 104
-
Đề thi tuyển sinh Toán vào lớp 10 năm 2025-2026 sở GD&ĐT Quảng Trị
Khoahoc.vietjack.com cập nhật Đề thi tuyển sinh Toán vào lớp 10 năm 2025-2026 sở GD&ĐT Quảng Trị sẽ giúp học sinh nắm được cấu trúc đề thi và có thêm tài liệu ôn thi vào lớp 10 môn Toán. Mời các bạn đón đọc:
13/03/2026 125
-
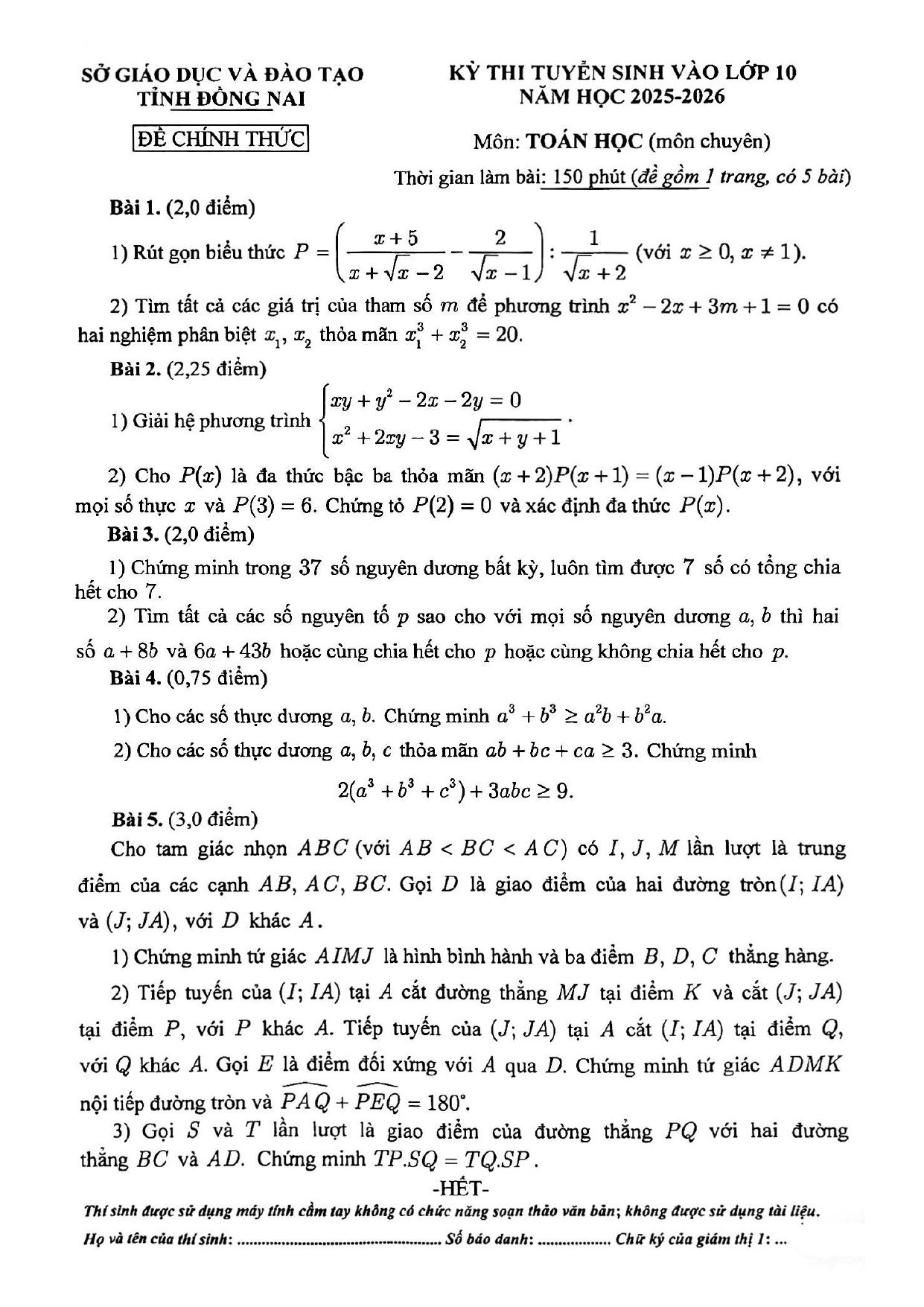
Đề thi tuyển sinh Toán vào lớp 10 (chuyên) năm 2025-2026 sở GD&ĐT Đồng Nai
Khoahoc.vietjack.com cập nhật Đề thi tuyển sinh Toán vào lớp 10 (chuyên) năm 2025-2026 sở GD&ĐT Đồng Nai sẽ giúp học sinh nắm được cấu trúc đề thi và có thêm tài liệu ôn thi vào lớp 10 môn Toán. Mời các bạn đón đọc:
13/03/2026 70
-
Đề thi tuyển sinh Toán vào lớp 10 (chuyên) năm 2025-2026 sở GD&ĐT Bình Dương
Khoahoc.vietjack.com cập nhật Đề thi tuyển sinh Toán vào lớp 10 (chuyên) năm 2025-2026 sở GD&ĐT Bình Dương sẽ giúp học sinh nắm được cấu trúc đề thi và có thêm tài liệu ôn thi vào lớp 10 môn Toán. Mời các bạn đón đọc:
13/03/2026 70
-
Đề thi tuyển sinh Toán (vòng 1) vào lớp 10 năm 2025-2026 trường chuyên KHTN - Hà Nội
Khoahoc.vietjack.com cập nhật Đề thi tuyển sinh Toán (vòng 1) vào lớp 10 năm 2025-2026 trường chuyên KHTN - Hà Nội sẽ giúp học sinh nắm được cấu trúc đề thi và có thêm tài liệu ôn thi vào lớp 10 môn Toán. Mời các bạn đón đọc:
13/03/2026 112
-
Đề thi tuyển sinh Toán vào lớp 10 năm 2025-2026 sở GD&ĐT Thái Bình
Khoahoc.vietjack.com cập nhật Đề thi tuyển sinh Toán vào lớp 10 năm 2025-2026 sở GD&ĐT Thái Bình sẽ giúp học sinh nắm được cấu trúc đề thi và có thêm tài liệu ôn thi vào lớp 10 môn Toán. Mời các bạn đón đọc:
13/03/2026 81
-
Đề thi tuyển sinh Toán vào lớp 10 năm 2025-2026 sở GD&ĐT Sơn La
Khoahoc.vietjack.com cập nhật Đề thi tuyển sinh Toán vào lớp 10 năm 2025-2026 sở GD&ĐT Sơn La sẽ giúp học sinh nắm được cấu trúc đề thi và có thêm tài liệu ôn thi vào lớp 10 môn Toán. Mời các bạn đón đọc:
13/03/2026 79
-
Đề thi tuyển sinh Toán (vòng 2) vào lớp 10 năm 2025-2026 trường chuyên KHTN - Hà Nội
Khoahoc.vietjack.com cập nhật Đề thi tuyển sinh Toán (vòng 2) vào lớp 10 năm 2025-2026 trường chuyên KHTN - Hà Nội sẽ giúp học sinh nắm được cấu trúc đề thi và có thêm tài liệu ôn thi vào lớp 10 môn Toán. Mời các bạn đón đọc:
13/03/2026 137
-
Đề thi tuyển sinh Toán vào lớp 10 năm 2025-2026 sở GD&ĐT Vĩnh Phúc
Khoahoc.vietjack.com cập nhật Đề thi tuyển sinh Toán vào lớp 10 năm 2025-2026 sở GD&ĐT Vĩnh Phúc sẽ giúp học sinh nắm được cấu trúc đề thi và có thêm tài liệu ôn thi vào lớp 10 môn Toán. Mời các bạn đón đọc:
13/03/2026 112