Đề thi thử Tốt nghiệp THPT Toán 2025-2026 trường THPT CG-TT-CG2 (Hải Phòng)
Khoahoc.vietjack.com cập nhật Đề thi thử Tốt nghiệp THPT Toán 2025-2026 trường THPT CG-TT-CG2, tỉnh Hải Phòng sẽ giúp học sinh có thêm tài liệu ôn thi Tốt nghiệp THPT Toán. Mời các bạn đón đọc:
Xem thử Đề thi Tốt nghiệp THPT Toán 2025 Xem thử Đề thi thử Tốt nghiệp THPT Toán 2025Xem thử Chuyên đề ôn thi Tốt nghiệp THPT Toán
Chỉ từ 350k mua trọn bộ đề thi Tốt nghiệp THPT Toán năm 2026 theo cấu trúc mới bản word có lời giải chi tiết:
A. Tóm tắt nội dung một số câu trong Đề thi thử Tốt nghiệp THPT Toán
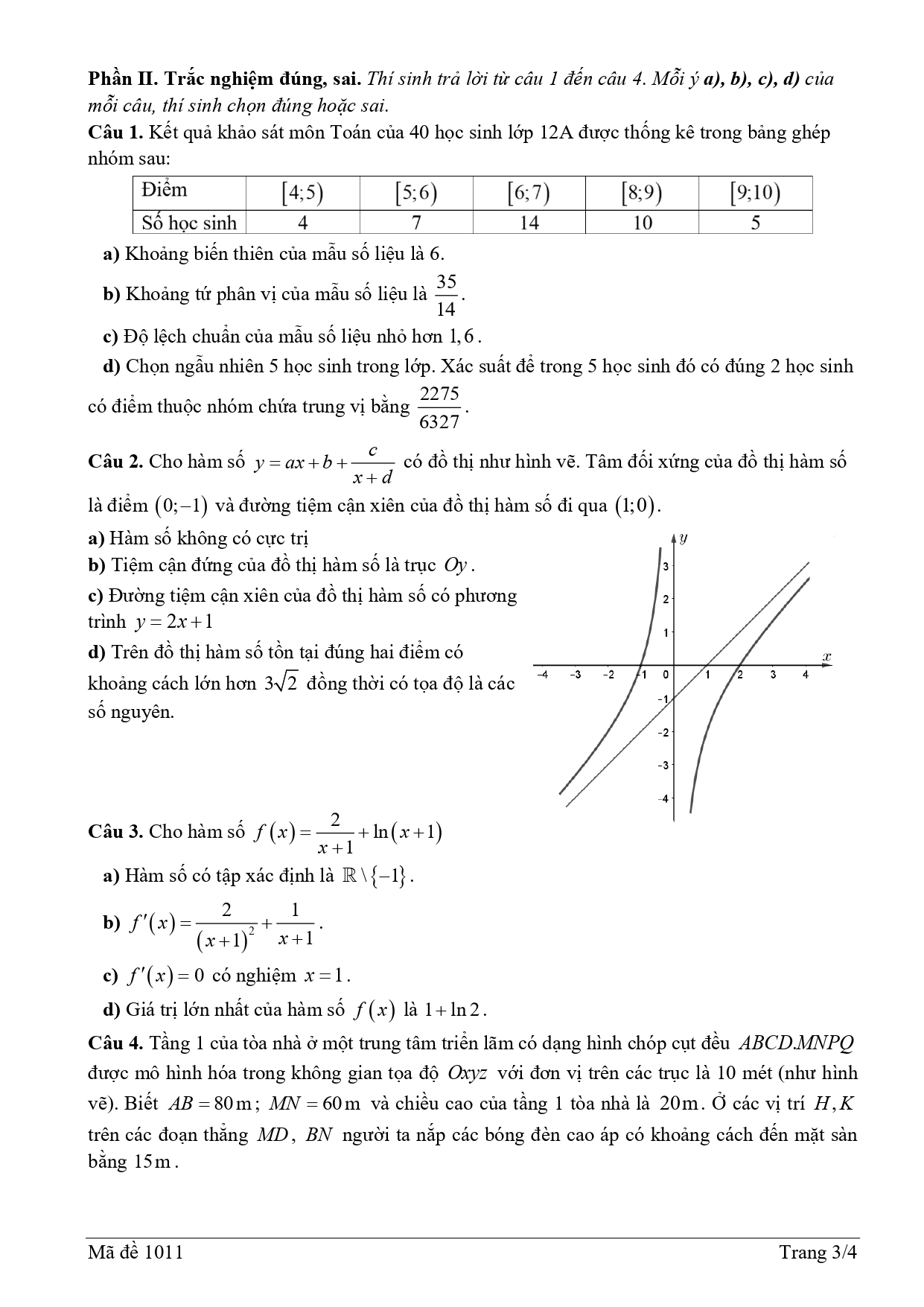
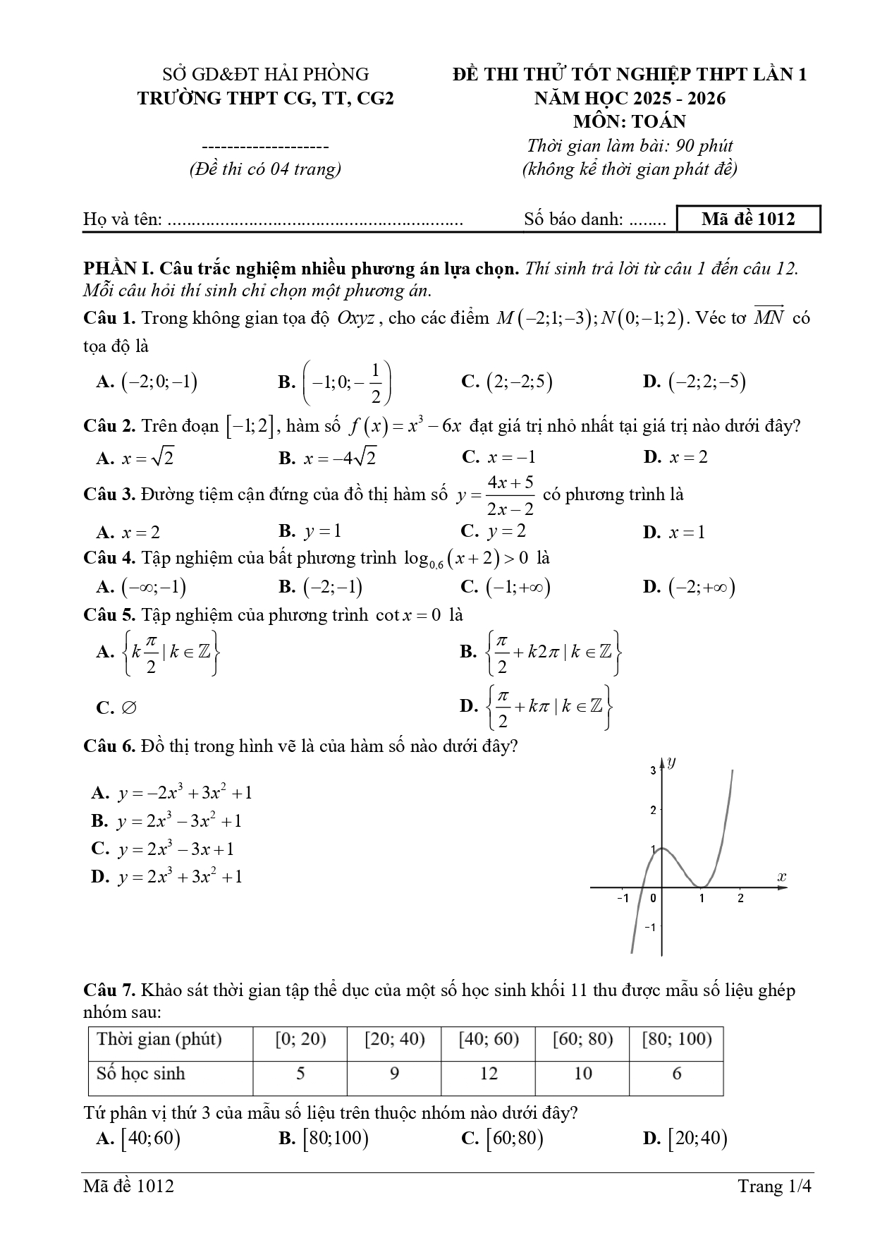
Câu 10. Khảo sát thời gian tập thể dục của một số học sinh khối 11 thu được mẫu số liệu ghép nhóm sau:
Tứ phân vị thứ 3 của mẫu số liệu trên thuộc nhóm nào dưới đây?
A. [20;40)
B. [60;80)
C. [80;100)
D. [40;60)
...........................................................................................
PHẦN II. Trắc nghiệm đúng, sai. Thí sinh trả lời từ câu 1 đến câu 4. Mỗi ý a), b), c), d) của mỗi câu, thí sinh chọn đúng hoặc sai.
...........................................................................................
PHẦN III. Trả lời ngắn. Thí sinh trả lời từ câu 1 đến câu 6.
Câu 1. Một cơ sở sản xuất hai loại sản phẩm loại I và loại II. Để sản xuất 1 tấn sản phẩm loại I cần 1 tấn nguyên liệu A và 0.5 tấn nguyên liệu B. Để sản xuất 1 tấn sản phẩm loại II cần 0.5 tấn nguyên liệu A và 0.75 tấn nguyên liệu B. Mỗi tấn sản phẩm loại I thu về số tiền lãi 6 triệu đồng, mỗi tấn sản phẩm loại II thu về số tiền lãi 7 triệu đồng. Hiện tại cơ sở mới chỉ nhập được 40 tấn nguyên liệu A và 30 tấn nguyên liệu B. Với các điều kiện như trên, cơ sở đó có thể thu về số tiền lãi lớn nhất là bao nhiêu triệu đồng?
Câu 2. Cho hình chóp S ABC . có đáy ABC là tam giác vuông tại A; AB = a; AC = a căn 3 . Tam giác SBC là tam giác đều và nằm trong mặt phẳng vuông góc với mặt đáy. Số đo góc nhị diện [B; SC; A] bằng bao nhiêu độ? (kết quả làm tròn đến hàng đơn vị).
...........................................................................................
B. Nội dung Đề thi thử Tốt nghiệp THPT Toán 2025 - 2026 trường THPT CG-TT-CG2 (Hải Phòng)









C. Chiến lược ôn thi Tốt nghiệp THPT Toán hiệu quả
Qua đề thi thử Tốt nghiệp THPT Toán 2025-2026 trường THPT CG-TT-CG2 (Hải Phòng) trên, các em đã nắm được cấu trúc cũng như các dạng bài tập có trong đề thi. Cùng tham gia ôn luyện các Đề thi thử Tốt nghiệp THPT môn Toán mới nhất trên khoahoc.vietjack.com để ôn thi Toán đạt kết quả cao.