Đề thi thử Tốt nghiệp THPT Toán 2025-2026 trường THPT Mai Anh Tuấn (Thanh Hóa)
Khoahoc.vietjack.com cập nhật Đề thi thử Tốt nghiệp THPT Toán 2025-2026 trường THPT Mai Anh Tuấn, tỉnh Thanh Hóa sẽ giúp học sinh có thêm tài liệu ôn thi Tốt nghiệp THPT Toán. Mời các bạn đón đọc:
Xem thử Đề thi Tốt nghiệp THPT Toán 2025 Xem thử Đề thi thử Tốt nghiệp THPT Toán 2025Xem thử Chuyên đề ôn thi Tốt nghiệp THPT Toán
Chỉ từ 350k mua trọn bộ đề thi Tốt nghiệp THPT Toán năm 2026 theo cấu trúc mới bản word có lời giải chi tiết:
A. Tóm tắt nội dung một số câu trong Đề thi thử Tốt nghiệp THPT Toán
...........................................................................................
...........................................................................................
Câu 1. Nhà thầy Quang cách bờ biển 1km. Mỗi buổi sáng thầy chạy bộ từ nhà ra bờ biển sau đó chạy dọc bờ biển 500 m, rồi thầy chạy qua chợ hải sản để lấy thức ăn trong ngày, cuối cùng thầy chạy về nhà. Biết chợ hải sản cách bờ biển 400 m và cách nhà thầy Quang 1km, tính quãng đường ngắn nhất mà thầy Quang đã chạy trong mỗi buổi sáng (đơn vị m và làm tròn đến hàng đơn vị).
Câu 3. Có 8 bạn cùng ngồi xung quanh một cái bàn tròn, mỗi bạn cầm một đồng xu như nhau. Tất cả 8 bạn cùng tung đồng xu của mình, bạn có đồng xu ngửa thì đứng, bạn có đồng xu sấp thì ngồi. Tính xác suất để không có hai bạn liền kề cùng đứng. (Kết quả làm tròn đến hàng phần trăm)
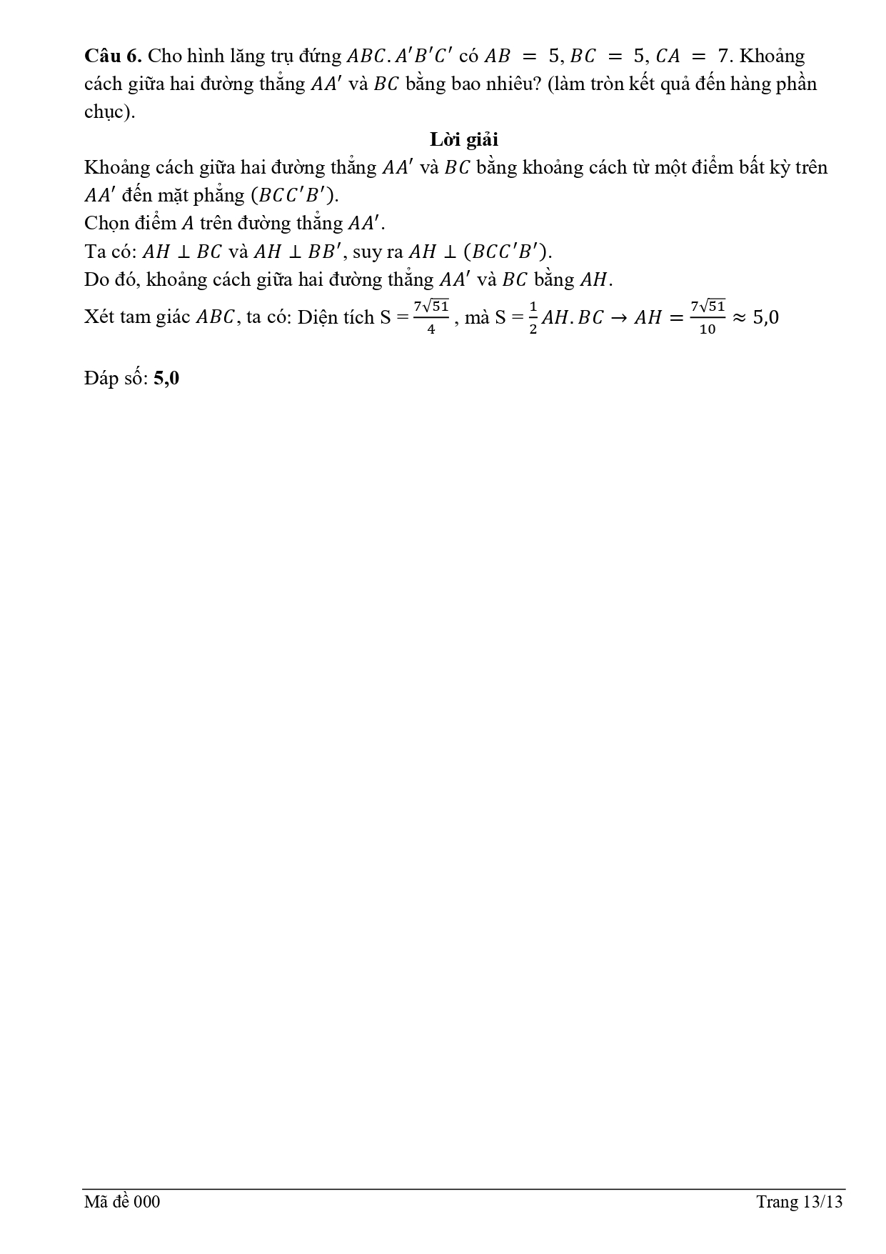
Câu 6. Cho hình lăng trụ đứng ABC.A'B'C' có AB = 5, BC = 5, CA = 7. Khoảng cách giữa hai đường thẳng AA' và BC bằng bao nhiêu? (làm tròn kết quả đến hàng đơn vị).
...........................................................................................
B. Nội dung Đề thi thử Tốt nghiệp THPT Toán 2025 - 2026 trường THPT Mai Anh Tuấn (Thanh Hóa)























C. Chiến lược ôn thi Tốt nghiệp THPT Toán hiệu quả
Qua đề thi thử Tốt nghiệp THPT Toán 2025-2026 trường THPT Mai Anh Tuấn (Thanh Hóa) trên, các em đã nắm được cấu trúc cũng như các dạng bài tập có trong đề thi. Cùng tham gia ôn luyện các Đề thi thử Tốt nghiệp THPT môn Toán mới nhất trên khoahoc.vietjack.com để ôn thi Toán đạt kết quả cao.