Đề thi tuyển sinh Toán vào lớp 10 (chuyên) năm 2025-2026 sở GD&ĐT Hà Giang
Khoahoc.vietjack.com cập nhật Đề thi tuyển sinh Toán vào lớp 10 (chuyên) năm 2025-2026 sở GD&ĐT Hà Giang sẽ giúp học sinh nắm được cấu trúc đề thi và có thêm tài liệu ôn thi vào lớp 10 môn Toán. Mời các bạn đón đọc:
- Bộ đề thi Toán vào 10 năm 2025 có đầy đủ lời giải chi tiết:
Xem thử Bộ đề thi thử vào 10 Toán 2025Xem thử Bộ đề thi vào 10 Toán 2025 Xem thử Chuyên đề Toán ôn vào 10
- Bộ đề thi vào 10 môn Toán Hà Nội, Tp.HCM, Đà Nẵng gồm 8 đề thi CHÍNH THỨC từ năm 2015 → 2024 có lời giải chi tiết giúp Giáo viên có thêm tài liệu ôn thi Toán vào 10 Hà Nội, Tp.HCM, Đà Nẵng:
Xem thử Đề vào 10 Hà NộiXem thử Đề vào 10 TP.HCMXem thử Đề vào 10 Đà Nẵng
Chỉ từ 150k mua trọn bộ Đề ôn thi vào 10 môn Toán năm 2026 theo cấu trúc mới bản word có lời giải chi tiết:
A. Tóm tắt nội dung một số câu trong Đề thi Toán vào lớp 10
Câu IV. (1,0 điểm) Tìm tất cả các số tự nhiên n sao cho 2n - 1 và 3n + 1 là các số chính phương và 6n - 13 là số nguyên tố.
...........................................................................................
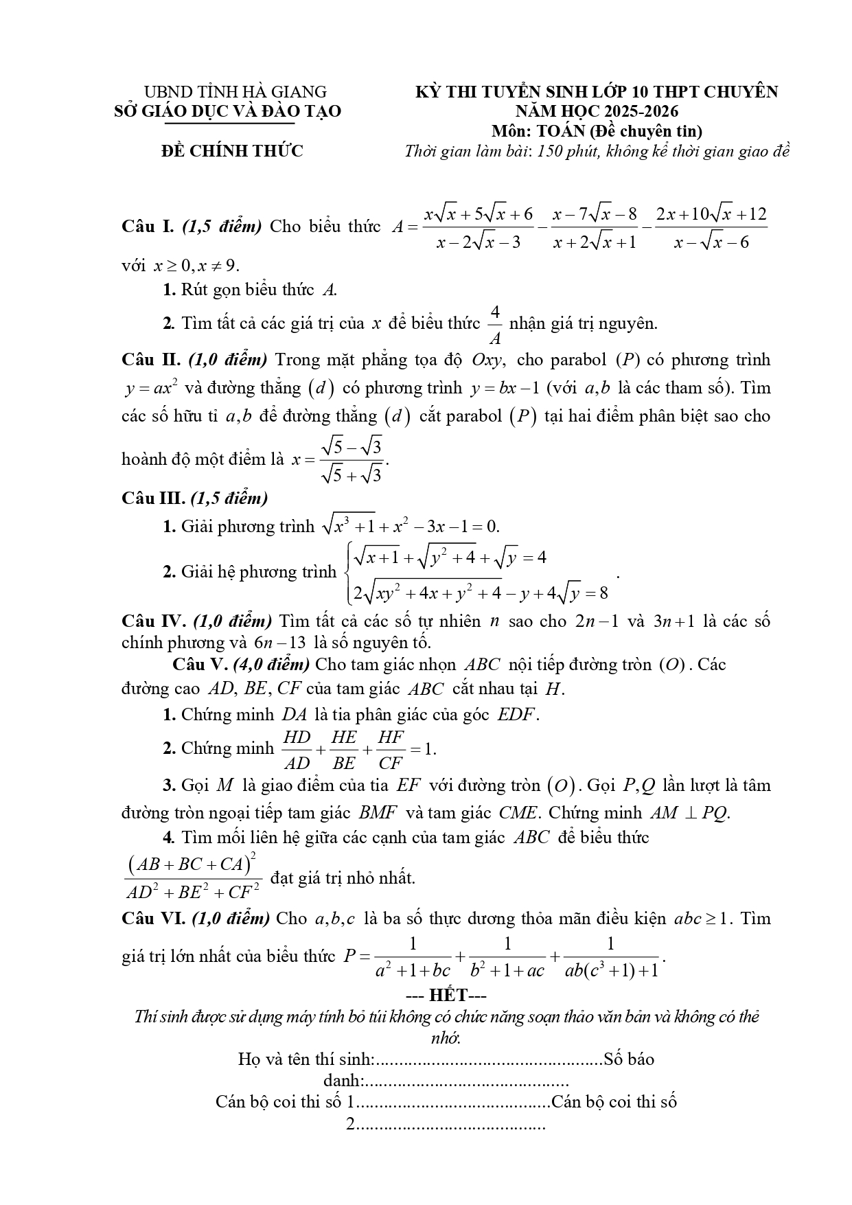
B. Nội dung Đề thi Toán vào lớp 10 (chuyên) năm 2025 - 2026 sở GD&ĐT Hà Giang





C. Chiến lược ôn thi vào 10 môn Toán hiệu quả
Qua đề thi tuyển sinh Toán vào lớp 10 (chuyên) năm 2025-2026 sở GD&ĐT Hà Giang trên, các em đã nắm được cấu trúc cũng như các dạng bài tập có trong đề thi. Cùng tham gia ôn luyện các Đề thi Toán vào lớp 10 mới nhất trên khoahoc.vietjack.com để ôn thi Toán đạt kết quả cao.