Đề cương ôn tập Học kì 1 Toán 12 trường THPT Vân Cốc (Hà Nội) năm 2025–2026
Khoahoc.vietjack.com cập nhật Đề cương ôn tập Học kì 1 Toán 12 trường THPT Vân Cốc, tỉnh Hà Nội năm 2025 – 2026 sẽ giúp học sinh lớp 12 có thêm tài liệu ôn thi Toán 12 Cuối kì 1. Mời các bạn đón đọc:
Xem thử Đề cương ôn tập CK1 Toán 12 KNTTXem thử Đề cương ôn tập CK1 Toán 12 CTST Xem thử Đề cương ôn tập CK1 Toán 12 CD
Chỉ từ 80k mua trọn bộ đề cương ôn tập Toán 12 Học kì 1 theo cấu trúc mới bản word có lời giải chi tiết, trình bày đẹp mắt, dễ dàng chỉnh sửa:
A. Tóm tắt nội dung một số câu trong Đề cương Học kì 1 Toán 12
A. KIẾN THỨC ÔN TẬP
Chương 1: Ứng dụng của đạo hàm để khảo sát và vẽ đồ thị hàm số. Chương 2: Phương pháp toạ độ trong không gian.
Chương 3: Các số đặc trưng đo mức độ phân tán của mẫu số liệu ghép nhóm. Chương 4: Khái niệm và tính chất nguyên hàm.
B. NỘI DUNG
I. Ứng dụng của đạo hàm để khảo sát và vẽ đồ thị hàm số.
Phần I. Câu trắc nghiệm nhiều phương án lựa chọn. Mỗi câu hỏi chỉ chọn một phương án.
Câu 9. Biết M (1;5) là một điểm cực trị của đồ thị hàm số y = f (x) = x² + ax²+bx+1. Giá trị ƒ (2) bằng
A.-3.
B. -21.
C. 3.
D. 15.
Câu 20. Số giao điểm của đồ thị hàm số y = x^3 - 3x^2 +3 và đường thẳng y = x là
A. 2.
B. 3.
C. 0.
D. 4.
Phần II. Câu trắc nghiệm đúng sai. Trong mỗi ý (a), (b), (c), (d) ở mỗi câu, chọn đúng hoặc sai.
...........................................................................................
Phần III. Trắc nghiệm trả lời ngắn.
Câu 33. Một ông nông dân có 240 m hàng rào và muốn rào lại cánh đồng hình chữ nhật tiếp giáp với một con sông. Ông không cần rào cho phía giáp bờ sông. Hỏi ông có thể rào được cánh đồng với diện tích lớn nhất là bao nhiêu ?
...........................................................................................
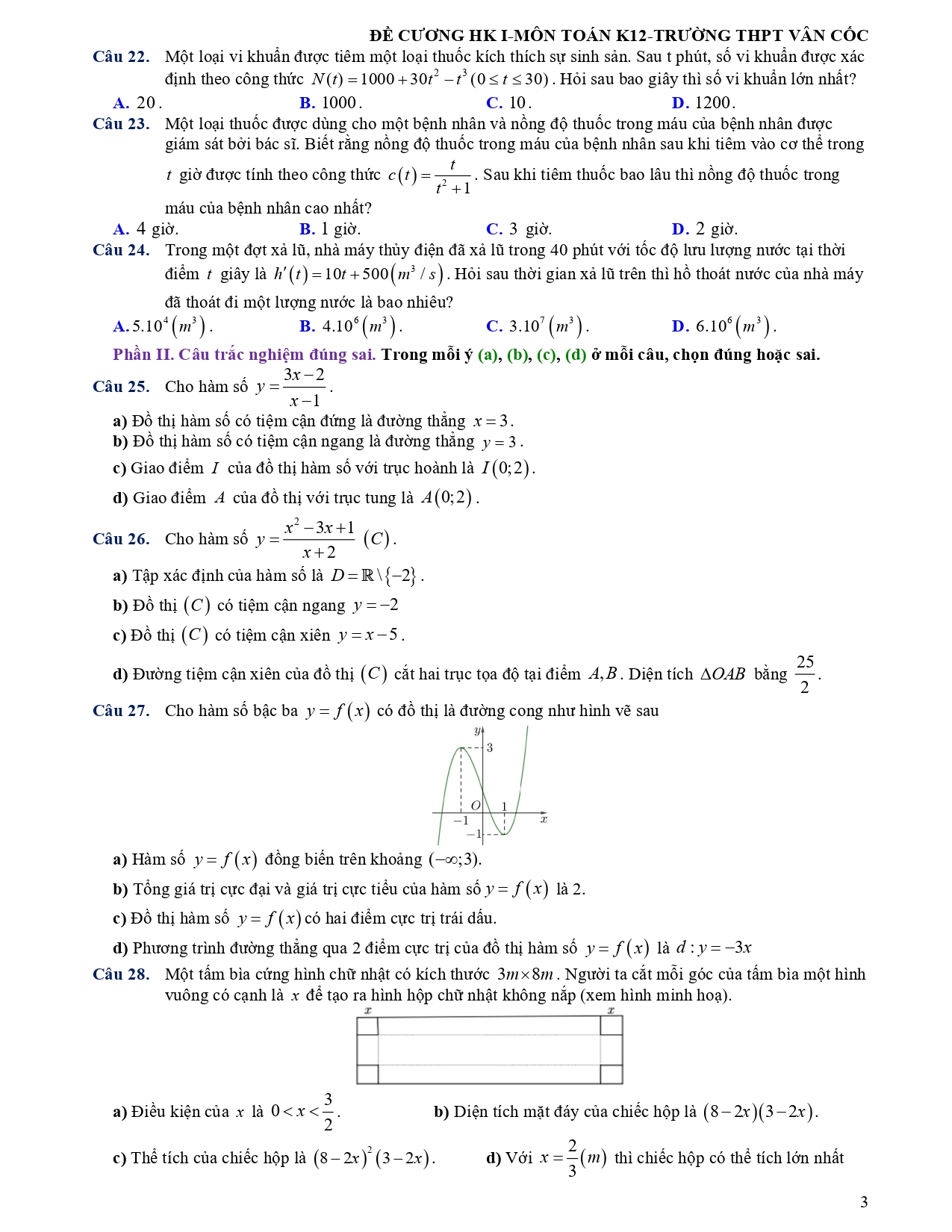
B. Nội dung Đề cương học kì 1 Toán 12 trường THPT Vân Cốc (Hà Nội) năm 2025–2026













