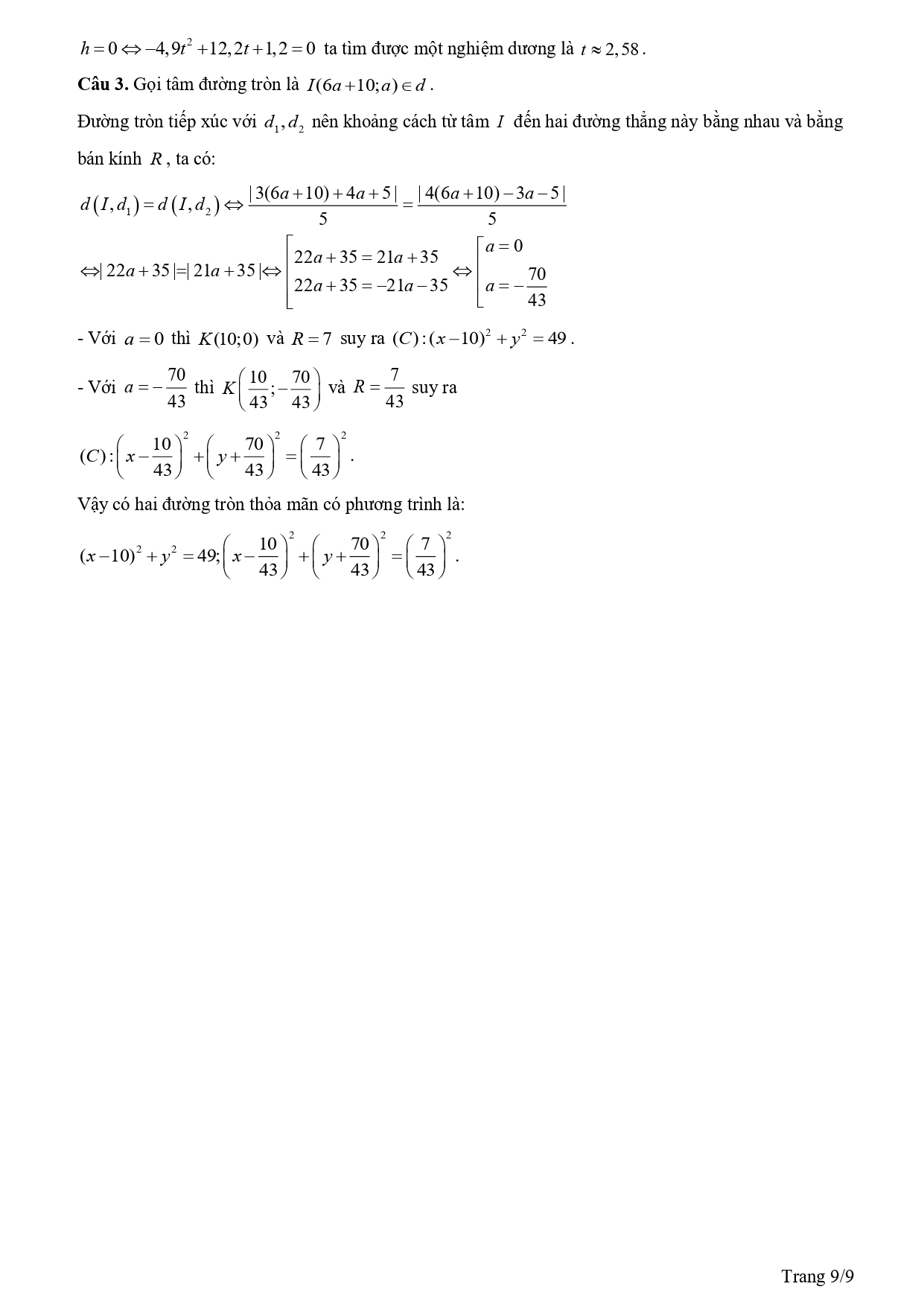
Đề cương ôn tập Giữa kì 2 Toán 10 trường THPT Phan Châu Trinh (Đà Nẵng) năm 2025–2026
Khoahoc.vietjack.com cập nhật Đề cương ôn tập Giữa kì 2 Toán 10 trường THPT Phan Châu Trinh, tỉnh Đà Nẵng năm 2025 – 2026 sẽ giúp học sinh lớp 10 có thêm tài liệu ôn thi Toán 10 Giữa học kì 2. Mời các bạn đón đọc:
Xem thử Đề cương ôn tập Toán 10 GK2 KNTT Xem thử Đề cương ôn tập Toán 10 GK2 CTST Xem thử Đề cương ôn tập Toán 10 GK2 CD
Chỉ từ 80k mua trọn bộ đề cương ôn tập Toán 10 Giữa kì 2 theo cấu trúc mới bản word có lời giải chi tiết, trình bày đẹp mắt, dễ dàng chỉnh sửa:
A. Tóm tắt nội dung một số câu trong Đề cương Giữa kì 2 Toán 10
B. ĐỀ THAM KHẢO
PHẦN I. (3,0 điểm) Câu trắc nghiệm nhiều phương án lựa chọn. Học sinh trả lời từ câu 1 đến câu 12. Mỗi câu hỏi trắc nghiệm chọn một phương án
Câu 12. Khoảng cách từ điểm A (1;3) đến đường thẳng delta : 3x + 4y - 5 = 0 là:
A. 1.
B. 2.
C. 3.
D. 4.
...........................................................................................
PHẦN II (2,0 điểm). Câu trắc nghiệm đúng sai. Học sinh trả lời từ câu 1 đến câu 2. Trong mỗi ý a), b), c), d) ở mỗi câu học sinh chọn đúng hoặc sai
PHẦN III. Trả lời ngắn (04 Câu – 2,0 điểm) Học sinh trả lời từ câu 1 đến câu 4.
Câu 3: Một tấm tôn phẳng hình chữ nhật có bề ngang 32 cm được uốn thành một máng dẫn nước bằng cách chia tấm tôn đó thành ba phần rồi gấp hai bên lại theo một góc vuông. Gọi x (cm) là độ cao của máng dẫn nước. Để đảm bảo kỹ thuật, diện tích mặt cắt ngang của máng phải lớn hơn hoặc bằng 120cm^2 . Hỏi máng dẫn nước phải có độ cao ít nhất là bao nhiêu cm?
B. Nội dung Đề cương giữa học kì 2 Toán 10 trường THPT Phan Châu Trinh (Đà Nẵng) năm 2025–2026








