Đề cương ôn tập Giữa kì 2 Toán 10 trường THPT Đức Trọng (Lâm Đồng) năm 2025–2026
Khoahoc.vietjack.com cập nhật Đề cương ôn tập Giữa kì 2 Toán 10 trường THPT Đức Trọng, tỉnh Lâm Đồng năm 2025 – 2026 sẽ giúp học sinh lớp 10 có thêm tài liệu ôn thi Toán 10 Giữa học kì 2. Mời các bạn đón đọc:
Xem thử Đề cương ôn tập Toán 10 GK2 KNTT Xem thử Đề cương ôn tập Toán 10 GK2 CTST Xem thử Đề cương ôn tập Toán 10 GK2 CD
Chỉ từ 80k mua trọn bộ đề cương ôn tập Toán 10 Giữa kì 2 theo cấu trúc mới bản word có lời giải chi tiết, trình bày đẹp mắt, dễ dàng chỉnh sửa:
A. Tóm tắt nội dung một số câu trong Đề cương Giữa kì 2 Toán 10
1. HÀM SỐ
Kiến thức cần nhớ
1. Nếu với mỗi giá trị của x thuộc tập hợp số D có một và chỉ một giá trị tương ứng của y thuộc tập số thực R thì ta có một hàm số.
Ta gọi x là biến số và y là hàm số của x . Tập hợp D là tập xác định của hàm số. Tập tất cả các giá trị y nhận được là tập giá trị của hàm số.
...........................................................................................
BÀI TẬP
Bài 5.Tìm Parabol y = ax^2 + bx + 3 biết rằng parabol đó
a. đi qua hai điểm A(2;15) và B(-1;0)
b. có đỉnh I(-2;19)
Bài 6.Tìm Parabol y = ax^2 + bx + c biết rằng parabol đó có đỉnh I(-1;2) và đi qua điểm A(1;6)
Bài 9. Tìm các giá trị của tham số m để phương trình x^2 - 2(m+1)x + 3m^2 - 3 = 0
a. có nghiệm
b. có hai nghiệm trái dấu
...........................................................................................
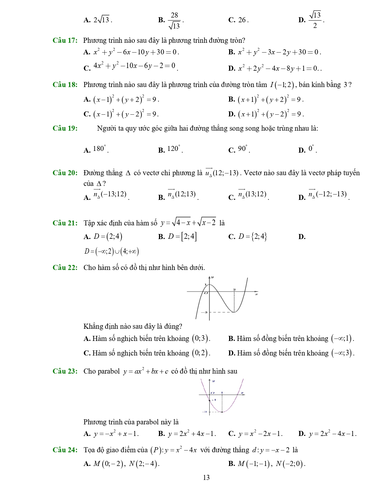
B. Nội dung Đề cương giữa học kì 2 Toán 10 trường THPT Đức Trọng (Lâm Đồng) năm 2025–2026













