Đề cương ôn tập Giữa kì 1 Toán 11 THPT Trần Phú (Hà Nội) năm 2025–2026
Khoahoc.vietjack.com cập nhật Đề cương ôn tập Giữa kì 1 Toán 11 THPT Trần Phú, Hà Nội năm 2025 – 2026 sẽ giúp học sinh lớp 12 có thêm tài liệu ôn thi Toán 12 Giữa học kì 1. Mời các bạn đón đọc:
XEM THỬ ĐỀ CƯƠNG ÔN TẬP CK2 TOÁN 11 KNTTXEM THỬ ĐỀ CƯƠNG ÔN TẬP CK2 TOÁN 11 CTST XEM THỬ ĐỀ CƯƠNG ÔN TẬP CK2 TOÁN 11 CD
Chỉ từ 80k mua trọn bộ đề cương ôn tập Toán 11 Học kì 2 theo cấu trúc mới bản word có lời giải chi tiết, trình bày đẹp mắt, dễ dàng chỉnh sửa:
A. Tóm tắt nội dung một số câu trong Đề cương Học kì 2 Toán 11
NỘI DUNG:
1. Chương I. Hàm số lượng giác và phương trình lượng giác.
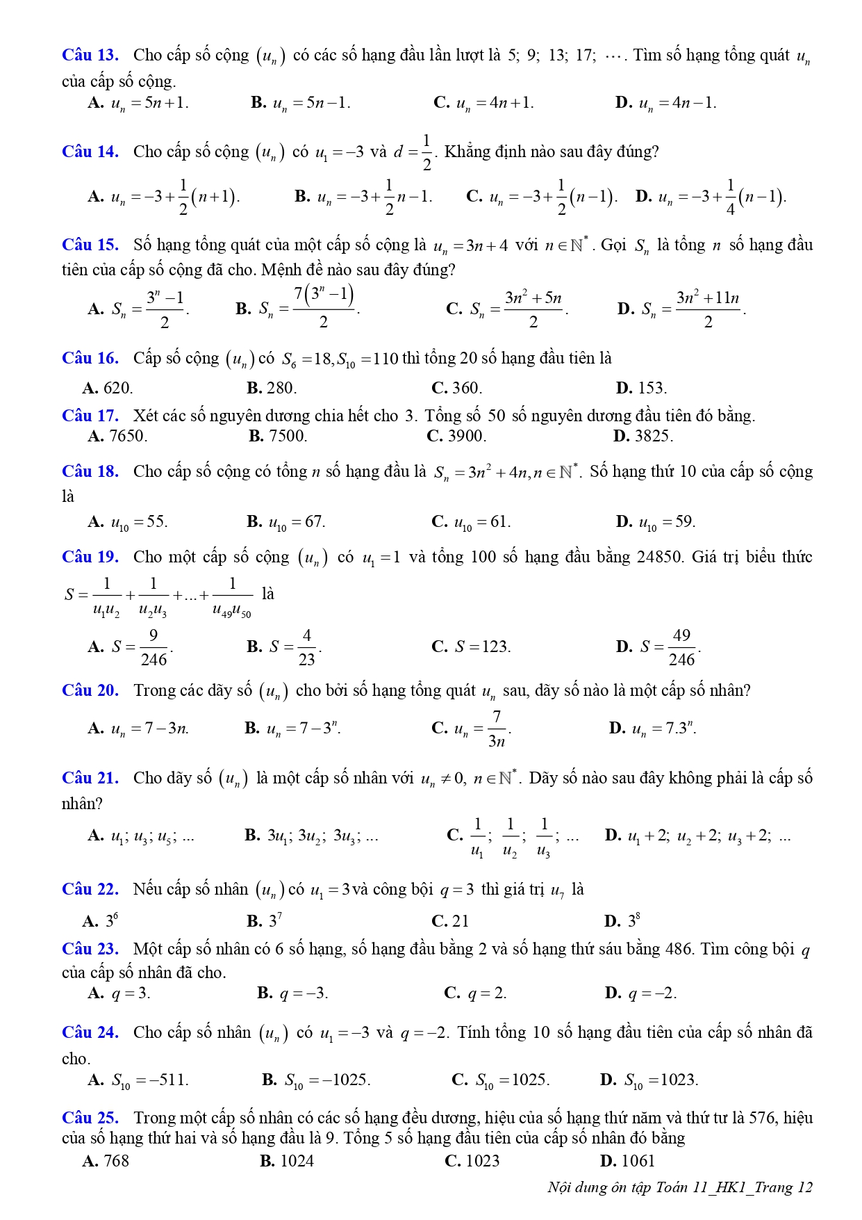
2. Chương II. Dãy số. Cấp số cộng và cấp số nhân.
3. Chương IV – Bài 1. Đường thẳng và mặt phẳng trong không gian. Quan hệ song song.
BÀI TẬP:
1. Chương I. Hàm số lượng giác và phương trình lượng giác.
Phần I. Câu trắc nghiệm nhiều phương án lựa chọn.
Phần II. Câu trắc nghiệm đúng sai.
Phần III. Trả lời ngắn & Tự luận.
2. Chương II. Dãy số. Cấp số cộng và cấp số nhân.
Phần I. Câu trắc nghiệm nhiều phương án lựa chọn.
Phần II. Câu trắc nghiệm đúng sai.
Phần III. Trả lời ngắn & Tự luận.
3. Chương IV – Bài 1. Đường thẳng và mặt phẳng trong không gian. Quan hệ song song.
Phần I. Câu trắc nghiệm nhiều phương án lựa chọn.
Phần II. Câu trắc nghiệm đúng sai.
Phần III. Trả lời ngắn & Tự luận.
35 vòng. Sau 72 giây, cánh quạt quay được một góc có số đo là aπ rad ( ). Tìm giá trị của a.
A. 420
nằm ở góc phần tư thứ mấy?
A. II B. IV C. III D. I
A. II
a) sin < 0
b) cos() > 0
c) Biết = với a, b ∈ Z. Giá trị a + b = 57
d) Giá trị của biểu thức bằng bằng -
...........................................................................................
...........................................................................................
B. Nội dung Đề cương học kì 2 Toán 11 _Ten_truong_ (_Ten_tinh_) năm 2025–2026















