Đề cương ôn tập Học kì 1 Toán 9 trường THCS Lê Quang Cường (TP Hồ Chí Minh) năm 2025–2026
Khoahoc.vietjack.com cập nhật Đề cương ôn tập Học kì 1 Toán 9 trường THCS Lê Quang Cường, tỉnh TP Hồ Chí Minh năm 2025 – 2026 sẽ giúp học sinh lớp 9 có thêm tài liệu ôn thi Toán 9 Cuối kì 1. Mời các bạn đón đọc:
XEM THỬ ĐỀ CƯƠNG ÔN TẬP TOÁN 9 CK1 KNTT XEM THỬ ĐỀ CƯƠNG ÔN TẬP TOÁN 9 CK1 CTSTXEM THỬ ĐỀ CƯƠNG ÔN TẬP TOÁN 9 CK1 CD
Chỉ từ 80k mua trọn bộ đề cương ôn tập Toán 9 Học kì 1 theo cấu trúc mới bản word có lời giải chi tiết, trình bày đẹp mắt, dễ dàng chỉnh sửa:
A. Tóm tắt nội dung một số câu trong Đề cương Học kì 1 Toán 9
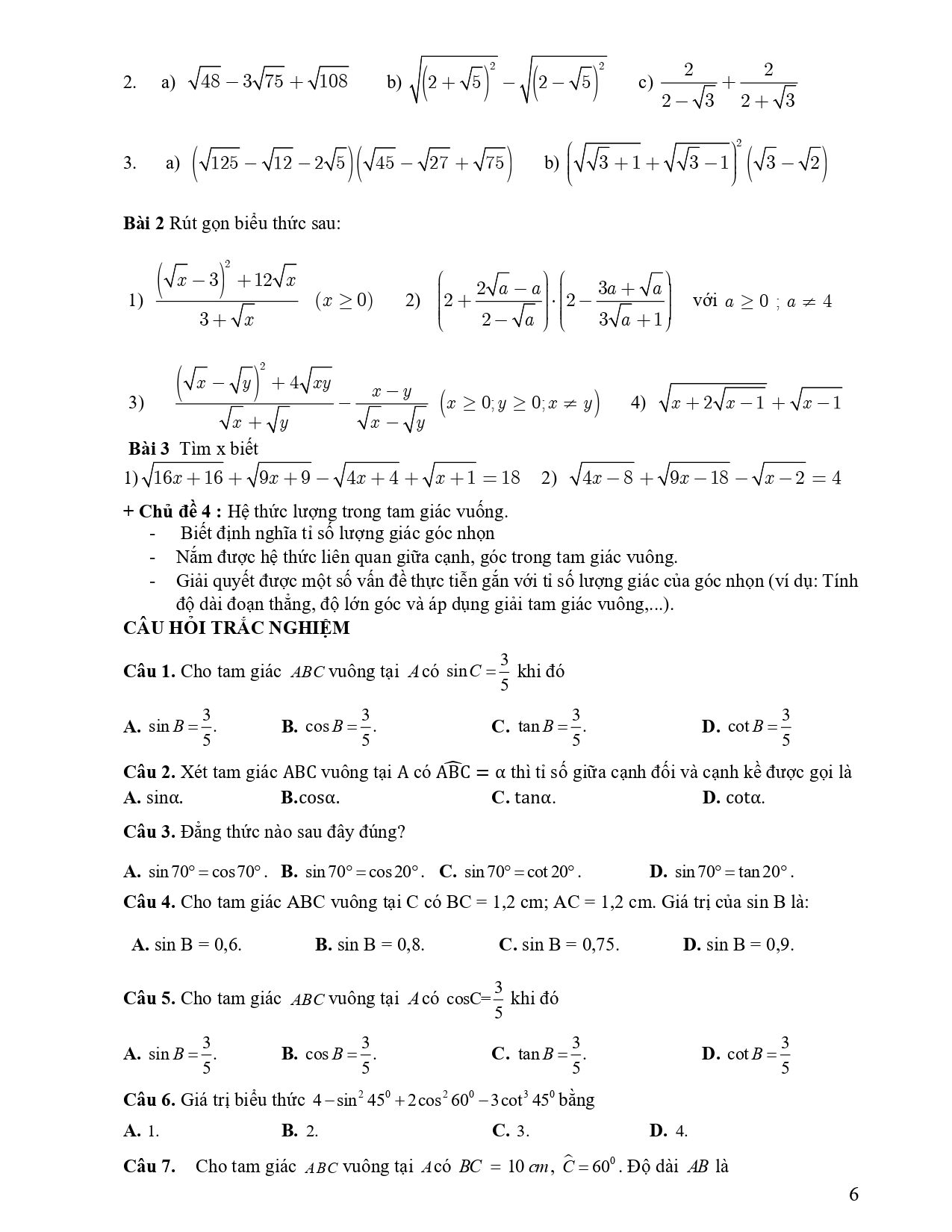
I– NỘI DUNG KIỂM TRA.
Gồm các chủ đề trong chương trình Toán 9 tập 1, cụ thể như sau :
+ Chủ đề 1: Phương trình và hệ phương trình.
- Giải được giải phương trình tích dạng (ax + b)(cx + d) = 0 (a khác 0, b khác 0)
- Giải được phương trình chứa ẩn ở mẫu quy về phương trình bậc nhất.
- Giải hệ phương trình bậc nhất hai ẩn bằng phương pháp cộng hoăc thế.
- Giải được phương trình chứa ẩn ở mẫu
- Giải được bài toán bằng cách lập hệ phương trinh (dạng toán Có nội dung hình học-hình chữ nhật, chuyển động đơn giản, tỉ lệ phần trăm)
CÂU HỎI TRẮC NGHIỆM
Câu 4. Phương trình (-2x - 3)(9x + 1) = m là phương trình tích khi m bằng?
A. m = 2
B. m = 0
C. m = - 1
D. m = 1
Câu 5. Tổng tất cả nghiệm phương trình (x - 3)(x + 1) = 0 là
A. 1.
B. 2.
C. -1.
D. -2.
...........................................................................................
BÀI TẬP TỰ LUẬN
DẠNG 4: GIẢI BÀI TOÁN BẰNG CÁCH LẬP HỆ PHƯƠNG TRÌNH
Bài 1. Một thửa ruộng hình chữ nhật có chiều rộng ngắn hơn chiều dài 45 m. Tính diện tích thửa ruộng, biết rằng nếu chiều dài giảm đi 2 lần và chiều rộng tăng lên 3 lần thì chu vi thửa ruộng không thay đổi.
...........................................................................................
B. Nội dung Đề cương học kì 1 Toán 9 trường THCS Lê Quang Cường (TP Hồ Chí Minh) năm 2025–2026











