Đề cương ôn tập Học kì 1 Toán 7 hệ thống GD Archimedes School (Hà Nội) năm 2025–2026
Khoahoc.vietjack.com cập nhật Đề cương ôn tập Học kì 1 Toán 7 hệ thống GD Archimedes School, tỉnh Hà Nội năm 2025 – 2026 sẽ giúp học sinh lớp 7 có thêm tài liệu ôn thi Toán 7 Cuối kì 1. Mời các bạn đón đọc:
Xem thử Đề cương ôn tập Toán 7 CK1 KNTT Xem thử Đề cương ôn tập Toán 7 CK1 CTST Xem thử Đề cương ôn tập Toán 7 CK1 CD
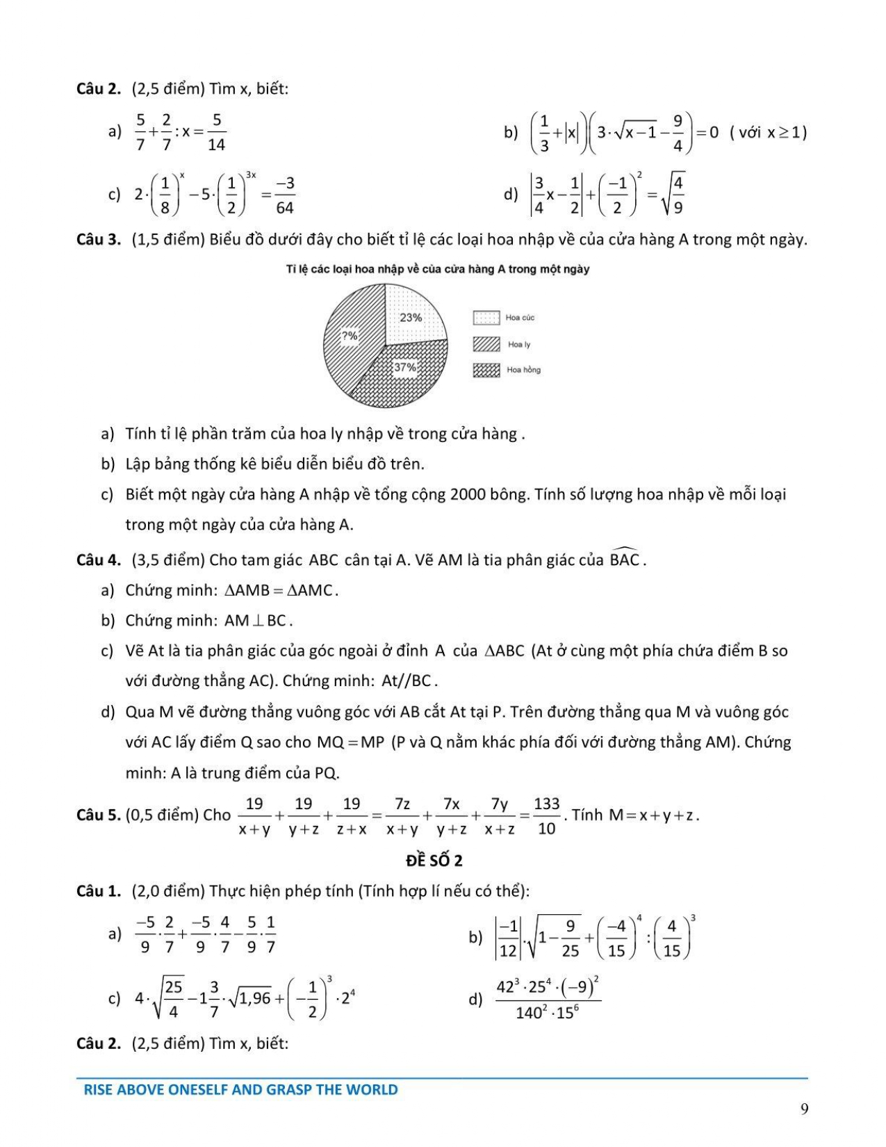
Chỉ từ 80k mua trọn bộ đề cương ôn tập Toán 7 Học kì 1 theo cấu trúc mới bản word có lời giải chi tiết, trình bày đẹp mắt, dễ dàng chỉnh sửa:
A. Tóm tắt nội dung một số câu trong Đề cương Học kì 1 Toán 7
1. KIẾN THỨC TRỌNG TÂM
1. Đại số
• Các phép toán về số hữu tỉ, số vô tỉ, số thực.
• Lũy thừa, các phép toán về lũy thừa số hữu tỉ, căn bậc hai số học.
2. THỐNG KÊ
• Biểu đồ hình quạt tròn.
• Biểu đồ đoạn thẳng.
3. HÌNH HỌC
• Các góc ở vị trí đặc biệt.
• Hai đường thẳng song song, tiên đề Euclid.
• Tam giác, tam giác bằng nhau, ba trường hợp bằng nhau của hai tam giác.
• Trường hợp bằng nhau của hai tam giác vuông.
• Tam giác cân, đường trung trực của đoạn thẳng.
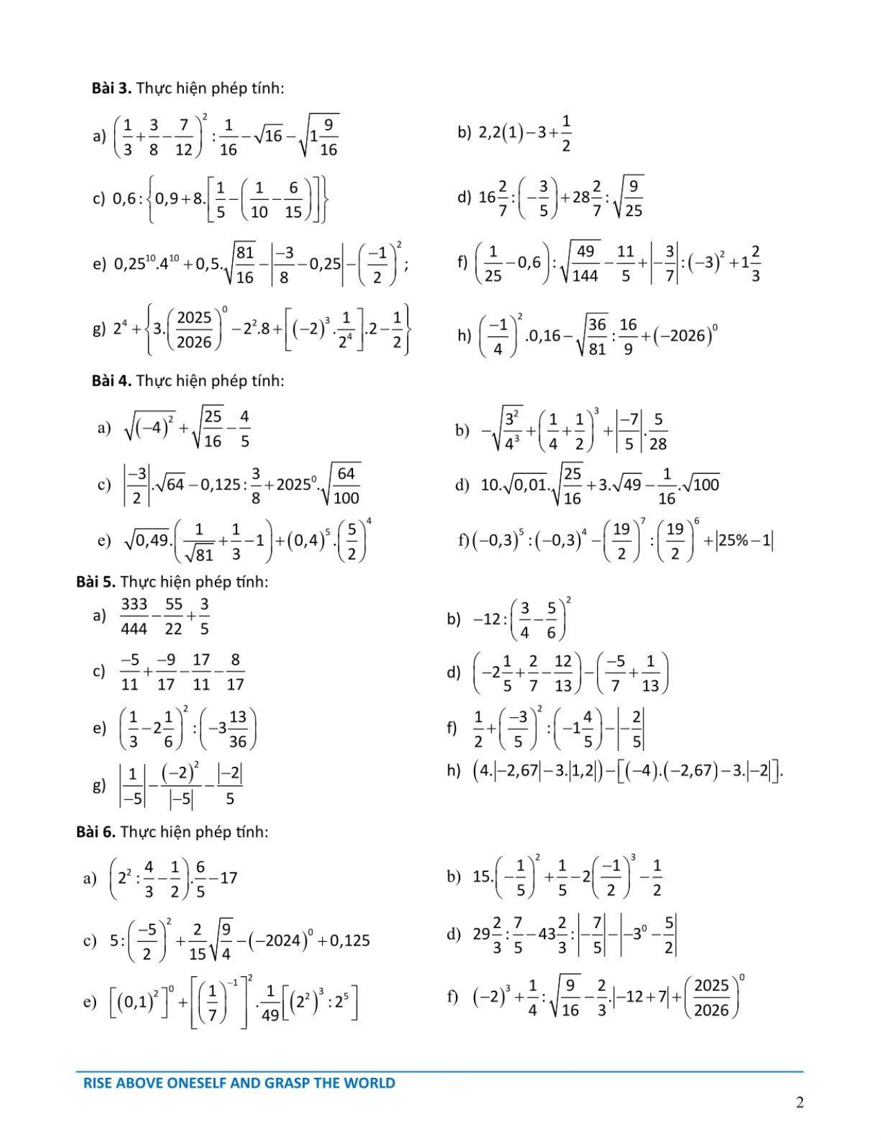
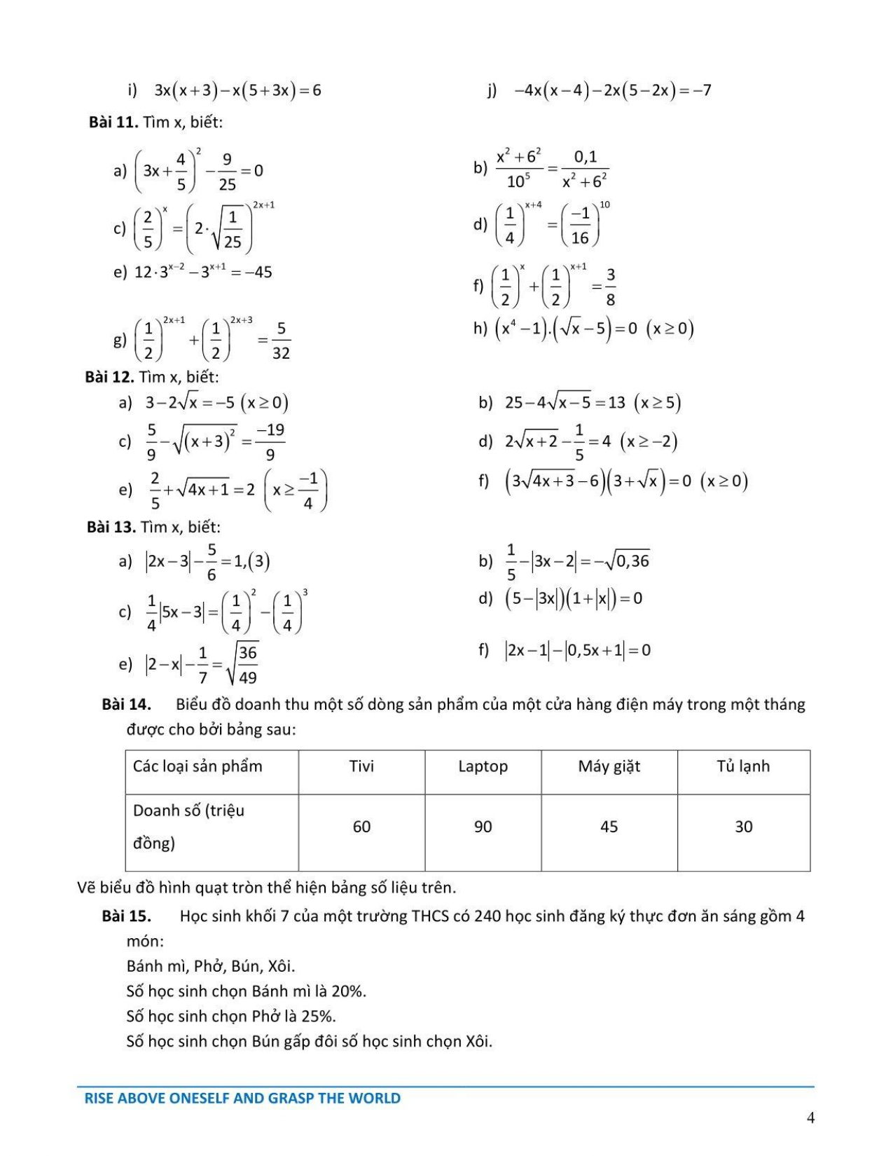
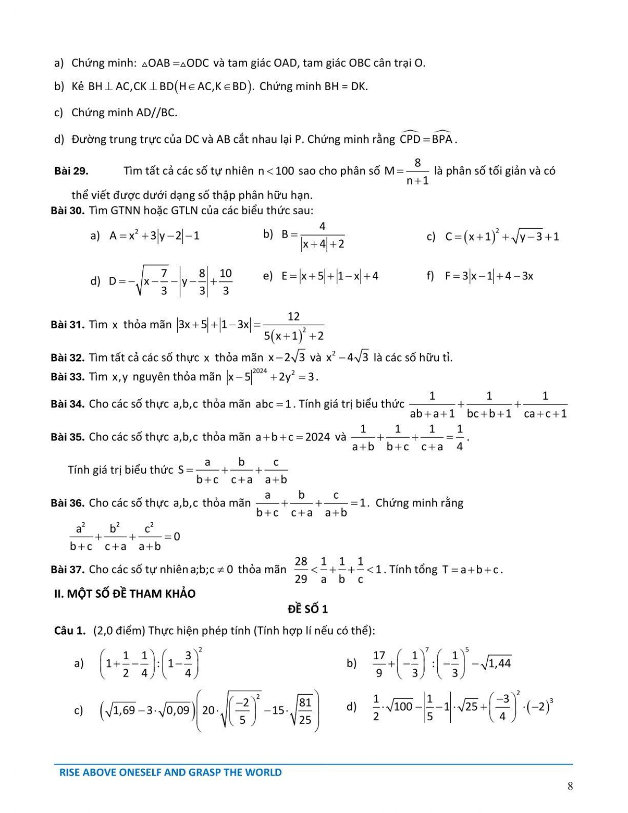
II. BÀI TẬP THEO CHỦ ĐỀ
Bài 15. Học sinh khối 7 của một trường THCS có 240 học sinh đăng ký thực đơn ăn sáng gồm 4 món:
Bánh mì, Phở, Bún, Xôi.
Số học sinh chọn Bánh mì là 20%.
Số học sinh chọn Phở là 25%.
Số học sinh chọn Bún gấp đôi số học sinh chọn Xôi.
Tính:
1. Tỉ số phần trăm số học sinh chọn Bún và Xôi.
2. Lập bảng số liệu số học sinh chọn từng món ăn sáng (đơn vị: học sinh).
3. Vẽ biểu đồ hình quạt tròn thể hiện số liệu trên.
Bài 18. Biểu đồ cột bên dưới biểu diễn doanh thu bán hàng và dịch vụ công viên nước Đầm Sen trong các năm 2018, 2019, 2020, 2021.

a) Lập bảng thống kê doanh thu bán hàng và dịch vụ công viên nước Đầm Sen
b) Doanh thu bán hàng và dịch vụ năm 2019 tăng bao nhiêu phần trăm so với năm 2018:
...........................................................................................
B. Nội dung Đề cương học kì 1 Toán 7 hệ thống GD Archimedes School (Hà Nội) năm 2025–2026












