Đề cương ôn tập Học kì 1 Toán 7 trường THCS Nguyễn Bỉnh Khiêm (Hà Nội) năm 2025–2026
Khoahoc.vietjack.com cập nhật Đề cương ôn tập Học kì 1 Toán 7 trường THCS Nguyễn Bỉnh Khiêm, tỉnh Hà Nội năm 2025 – 2026 sẽ giúp học sinh lớp 7 có thêm tài liệu ôn thi Toán 7 Cuối kì 1. Mời các bạn đón đọc:
Xem thử Đề cương ôn tập Toán 7 CK1 KNTT Xem thử Đề cương ôn tập Toán 7 CK1 CTST Xem thử Đề cương ôn tập Toán 7 CK1 CD
Chỉ từ 80k mua trọn bộ đề cương ôn tập Toán 7 Học kì 1 theo cấu trúc mới bản word có lời giải chi tiết, trình bày đẹp mắt, dễ dàng chỉnh sửa:
A. Tóm tắt nội dung một số câu trong Đề cương Học kì 1 Toán 7
* LÝ THUYẾT
A. Đại số
1. Số hữu tỉ
- Số hữu tỉ và tập hợp các số hữu tỉ.
- Thứ tự trong tập hợp các số hữu tỉ
2. Các phép tính với số hữu tỉ
- Cộng trừ nhân chia các số hữu tỉ
- Lũy thừa với số mũ tự nhiên của một số hữu tỉ
- Thứ tự thực hiện phép tính
3. Số vô tỉ, căn bậc hai số học
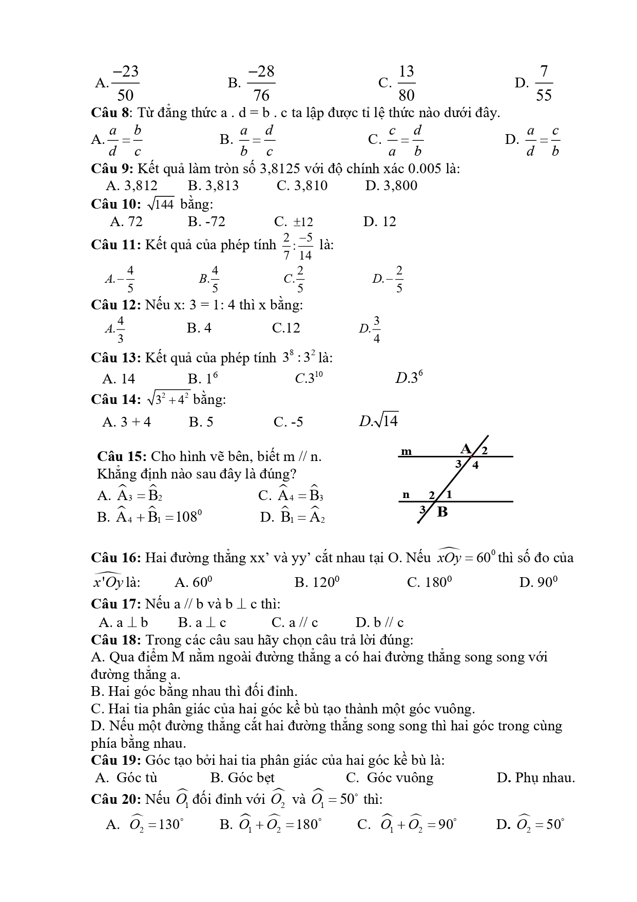
4. làm tròn số, ước lượng
5. Tỉ lệ thức, dãy tỉ số bằng nhau
6. Tỉ lệ thuận
B. Phần Hình học
1. Các hình khối trong thực tiễn
2. Các góc ở vị trí đặc biệt
3. Tia phân giác của một góc
4. Hai đường thẳng song song
* BÀI TẬP
I, Trắc nghiệm : Ghi vào bài làm chữ cái đứng trước câu trả lời đúng:
Câu 18: Trong các câu sau hãy chọn câu trả lời đúng:
A. Qua điểm M nằm ngoài đường thẳng a có hai đường thẳng song song với đường thẳng a.
B. Hai góc bằng nhau thì đối đỉnh.
C. Hai tia phân giác của hai góc kề bù tạo thành một góc vuông.
D. Nếu một đường thẳng cắt hai đường thẳng song song thì hai góc trong cùng phía bằng nhau.
Câu 19: Góc tạo bởi hai tia phân giác của hai góc kề bù là:
A. Góc tù.
B. Góc bẹt.
C. Góc vuông.
D. Phụ nhau.
...........................................................................................
II. Tự luận
Bài 3: Các cạnh của một tam giác có số đo tỉ lệ với các số 3; 5; 7. Tính mỗi cạnh của tam giác đó, biết chu vi của nó là 40,5 cm.
...........................................................................................
B. Nội dung Đề cương học kì 1 Toán 7 trường THCS Nguyễn Bỉnh Khiêm (Hà Nội) năm 2025–2026




