Đề thi thử Tốt nghiệp THPT Toán (lần 3) 2025-2026 trường THPT Trần Phú (Phú Thọ)
Khoahoc.vietjack.com cập nhật Đề thi thử Tốt nghiệp THPT Toán (lần 3) 2025-2026 trường THPT Trần Phú, tỉnh Phú Thọ sẽ giúp học sinh có thêm tài liệu ôn thi Tốt nghiệp THPT Toán. Mời các bạn đón đọc:
Xem thử Đề thi Tốt nghiệp THPT Toán 2025 Xem thử Đề thi thử Tốt nghiệp THPT Toán 2025Xem thử Chuyên đề ôn thi Tốt nghiệp THPT Toán
Chỉ từ 350k mua trọn bộ đề thi Tốt nghiệp THPT Toán năm 2026 theo cấu trúc mới bản word có lời giải chi tiết:
A. Tóm tắt nội dung một số câu trong Đề thi thử Tốt nghiệp THPT Toán
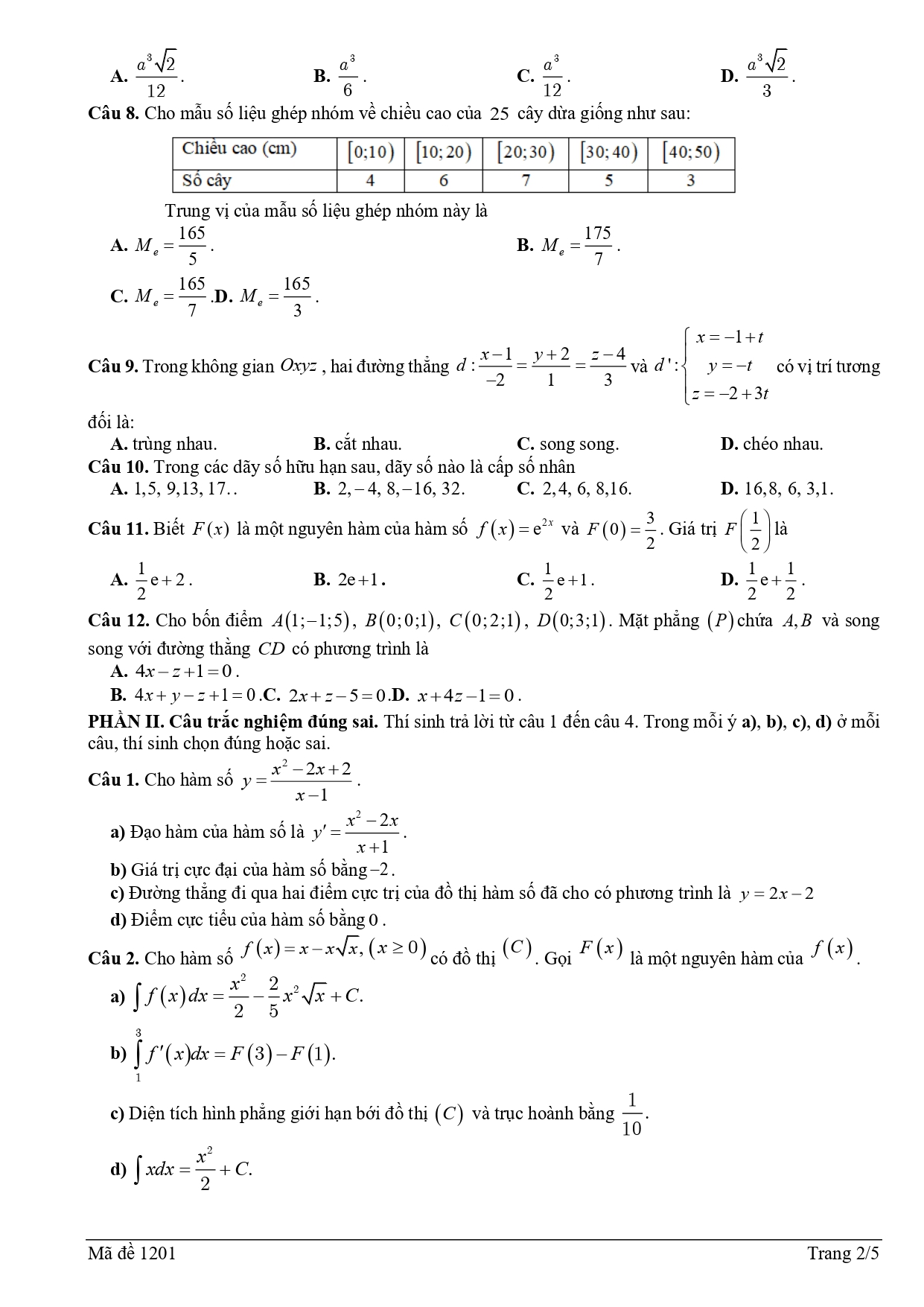
Câu 10. Trong các dãy số hữu hạn sau, dãy số nào là cấp số nhân
A. 1, 5, 9, 13, 17.
B. 2, 4, 8, -16, 32.
C. 2, 4, 6, 8, 16.
D. 16, 8, 6, 3, 1.
Câu 12. Cho bốn điểm A(1;-1;5), B(0;0;1), C(0;2;1), D(0;3;1). Mặt phẳng (P) chứa A, B và song song với đường thằng CD có phương trình là
A. 4x - z + l = 0.
B. 4x + y - z + 1 = 0.
C. 2x + z - 5 = 0.
D. x + 4z - 1 = 0.
...........................................................................................
...........................................................................................
Câu 3. Cho một lưới ô vuông gồm 16 ô vuông nhỏ, mỗi ô vuông có kích thước 1x1 (mét) như hình vẽ. Con kiến thứ nhất ở vị trí A muốn di chuyển lên vị trí B, con kiến thứ hai ở vị trí B muốn di chuyển xuống vị trí A. Biết rằng, con kiến thứ nhất chỉ có thể di chuyển ngẫu nhiên về phía bên phải hoặc lên trên, con kiến thứ hai chỉ có thể di chuyển ngẫu nhiên về phía bên trái hoặc xuống dưới (theo các cạnh của lưới). Hai con kiến xuất phát cùng một thời điểm và cùng có vận tốc di chuyển là 1mét/1phút. Xác suất để hai con kiến không gặp nhau bằng bao nhiêu? (Kết quả làm tròn đến hàng phần trăm).

...........................................................................................
B. Nội dung Đề thi thử Tốt nghiệp THPT Toán (lần 3) 2025 - 2026 trường THPT Trần Phú (Phú Thọ)




C. Chiến lược ôn thi Tốt nghiệp THPT Toán hiệu quả
Qua đề thi thử Tốt nghiệp THPT Toán (lần 3) 2025-2026 trường THPT Trần Phú (Phú Thọ) trên, các em đã nắm được cấu trúc cũng như các dạng bài tập có trong đề thi. Cùng tham gia ôn luyện các Đề thi thử Tốt nghiệp THPT môn Toán mới nhất trên khoahoc.vietjack.com để ôn thi Toán đạt kết quả cao.