a) Giải phương trình \(2\cos x - 1 = 0.\)
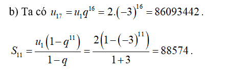
b) Cho cấp số nhân \(\left( {{u_n}} \right)\)biết \({u_1} = 2,\)công bội \(q = - 3\) tính \({u_{17}},{s_{11}}\)
a) Giải phương trình \(2\cos x - 1 = 0.\)
b) Cho cấp số nhân \(\left( {{u_n}} \right)\)biết \({u_1} = 2,\)công bội \(q = - 3\) tính \({u_{17}},{s_{11}}\)
Quảng cáo
Trả lời:
Lời giải
a) Ta có \(2\cos x - 1 = 0\)\( \Leftrightarrow \cos x = \frac{1}{2}\)\( \Leftrightarrow \cos x = \cos \frac{\pi }{3}\)\( \Leftrightarrow \left[ \begin{array}{l}x = \frac{\pi }{3} + k2\pi \\x = - \frac{\pi }{3} + k2\pi \end{array} \right.k \in \mathbb{Z}\).
Vậy phương trình có nghiệm \(x = \frac{\pi }{3} + k2\pi ,x = - \frac{\pi }{3} + k2\pi ,k \in \mathbb{Z}\).

Hot: 1000+ Đề thi cuối kì 1 file word cấu trúc mới 2025 Toán, Văn, Anh... lớp 1-12 (chỉ từ 60k). Tải ngay
- Trọng tâm Sử, Địa, GD KTPL 11 cho cả 3 bộ Kết nối, Chân trời, Cánh diều VietJack - Sách 2025 ( 38.000₫ )
- Trọng tâm Hóa học 11 dùng cho cả 3 bộ sách Kết nối, Cánh diều, Chân trời sáng tạo VietJack - Sách 2025 ( 58.000₫ )
- Sách lớp 11 - Trọng tâm Toán, Lý, Hóa, Sử, Địa lớp 11 3 bộ sách KNTT, CTST, CD VietJack ( 52.000₫ )
- Sách lớp 10 - Combo Trọng tâm Toán, Văn, Anh và Lí, Hóa, Sinh cho cả 3 bộ KNTT, CD, CTST VietJack ( 75.000₫ )
CÂU HỎI HOT CÙNG CHỦ ĐỀ
Câu 1
Lời giải
Chọn C
Giá trị đại diện của nhóm \(\left[ {60;80} \right)\) là \(\frac{{60 + 80}}{2} = 70\).
Câu 2
Lời giải
Chọn C
Ta có \(\lim \frac{{3n - 7}}{{2{n^2} + 3n - 1}}\)\( = \lim \frac{{\frac{3}{n} - \frac{7}{n}}}{{2 + \frac{3}{n} - \frac{1}{{{n^2}}}}} = 0\).
Câu 3
Lời giải
Bạn cần đăng ký gói VIP ( giá chỉ từ 199K ) để làm bài, xem đáp án và lời giải chi tiết không giới hạn.
Lời giải
Bạn cần đăng ký gói VIP ( giá chỉ từ 199K ) để làm bài, xem đáp án và lời giải chi tiết không giới hạn.
Câu 5
Lời giải
Bạn cần đăng ký gói VIP ( giá chỉ từ 199K ) để làm bài, xem đáp án và lời giải chi tiết không giới hạn.
Câu 6
Lời giải
Bạn cần đăng ký gói VIP ( giá chỉ từ 199K ) để làm bài, xem đáp án và lời giải chi tiết không giới hạn.
Câu 7
Lời giải
Bạn cần đăng ký gói VIP ( giá chỉ từ 199K ) để làm bài, xem đáp án và lời giải chi tiết không giới hạn.

