Tìm số hạng chứa \({x^{31}}\) trong khai triển \({\left( {x + \frac{1}{{{x^2}}}} \right)^{40}}\).
Tìm số hạng chứa \({x^{31}}\) trong khai triển \({\left( {x + \frac{1}{{{x^2}}}} \right)^{40}}\).
Quảng cáo
Trả lời:
Đáp án
\(C_{40}^{37}{x^{31}}\).
Giải thích
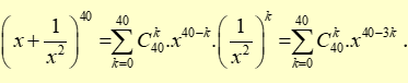
Theo khai triển nhị thức Newton, ta có

Hệ số của \({x^{31}}\) ứng với \(40 - 3k = 31 \Leftrightarrow k = 3 \to \) số hạng cần tìm \(C_{40}^{37}{x^{31}}\).
Hot: 1000+ Đề thi cuối kì 1 file word cấu trúc mới 2025 Toán, Văn, Anh... lớp 1-12 (chỉ từ 60k). Tải ngay
- Tuyển tập 15 đề thi Đánh giá tư duy Đại học Bách Khoa Hà Nội 2025 (Tập 1) ( 39.000₫ )
- Tuyển tập 30 đề thi đánh giá năng lực Đại học Quốc gia Hà Nội 2025 (Tập 1) ( 39.000₫ )
- Tuyển tập 30 đề thi đánh giá năng lực Đại học Quốc gia TP Hồ Chí Minh (2 cuốn) ( 140.000₫ )
- Tuyển tập 30 đề thi đánh giá năng lực Đại học Quốc gia Hà Nội, TP Hồ Chí Minh (2 cuốn) ( 150.000₫ )
CÂU HỎI HOT CÙNG CHỦ ĐỀ
Lời giải
Đáp án
2
Giải thích
Đáp án: 2
Tốc độ căn quân phương của phân tử khí tỉ lệ thuận với căn bậc hai của nhiệt độ tuyệt đối nên khi tăng gấp 4 nhiệt độ thì tốc độ căn quân phương tăng 2 lần.
Câu 2
Lời giải
Đáp án
Bắc Trung Bộ.
Giải thích
Đàn bò có xu hướng tăng nhanh, cả bò thịt và bò sữa. Năm 2021, tổng số lượng đàn bò là hơn 6 triệu con. Bò được nuôi nhiều ở Bắc Trung Bộ và Duyên hải miền Trung, Trung du miền núi Bắc Bộ và Tây Nguyên.
Câu 3
Lời giải
Bạn cần đăng ký gói VIP ( giá chỉ từ 199K ) để làm bài, xem đáp án và lời giải chi tiết không giới hạn.
Lời giải
Bạn cần đăng ký gói VIP ( giá chỉ từ 199K ) để làm bài, xem đáp án và lời giải chi tiết không giới hạn.
Câu 5
Lời giải
Bạn cần đăng ký gói VIP ( giá chỉ từ 199K ) để làm bài, xem đáp án và lời giải chi tiết không giới hạn.
Câu 6
Lời giải
Bạn cần đăng ký gói VIP ( giá chỉ từ 199K ) để làm bài, xem đáp án và lời giải chi tiết không giới hạn.
Câu 7
Lời giải
Bạn cần đăng ký gói VIP ( giá chỉ từ 199K ) để làm bài, xem đáp án và lời giải chi tiết không giới hạn.

