Cho hàm số \(f(x) = a{x^4} + b{x^2} + c\) có đồ thị như hình vẽ. Biết rằng \(f(x)\) đạt cực trị tại các điểm \({x_1};{x_2};{x_3}\) thỏa mãn \({x_3} = {x_1} + 2\) và \(f\left( {{x_1}} \right) + f\left( {{x_3}} \right) + \frac{2}{3}f\left( {{x_2}} \right) = 0\). Gọi \({S_1},{S_2},{S_3},{S_4}\) là diện tích các hình phẳng trong hình vẽ bên. Tỉ số \(\frac{{{S_1} + {S_2}}}{{{S_3} + {S_4}}}\) gần nhất với kết quả nào dưới đây?
Cho hàm số \(f(x) = a{x^4} + b{x^2} + c\) có đồ thị như hình vẽ. Biết rằng \(f(x)\) đạt cực trị tại các điểm \({x_1};{x_2};{x_3}\) thỏa mãn \({x_3} = {x_1} + 2\) và \(f\left( {{x_1}} \right) + f\left( {{x_3}} \right) + \frac{2}{3}f\left( {{x_2}} \right) = 0\). Gọi \({S_1},{S_2},{S_3},{S_4}\) là diện tích các hình phẳng trong hình vẽ bên. Tỉ số \(\frac{{{S_1} + {S_2}}}{{{S_3} + {S_4}}}\) gần nhất với kết quả nào dưới đây?

Quảng cáo
Trả lời:
Đáp án đúng là B
Phương pháp giải
Ứng dụng tích phân
Lời giải
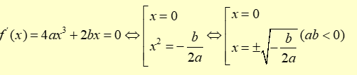
Hàm số \(f(x) = a{x^4} + b{x^2} + c\) có đạo hàm như sau:

Suy ra \({f^\prime }(x) = 4a(x + 1)x(x - 1) = 4a\left( {{x^3} - x} \right) \Rightarrow f(x) = \int {{f^\prime }} (x)dx\)\( = a\left( {{x^4} - 2{x^2}} \right) + c\)
\(\begin{array}{l}{\rm{Do}}\,\,f\left( {{x_1}} \right) + f\left( {{x_3}} \right) + \frac{2}{3}f\left( {{x_2}} \right) = 0 \Leftrightarrow f( - 1) + f(1) + \frac{2}{3}f(0) = 0\\ \Leftrightarrow (c - a) + (c - a) + \frac{2}{3}c = 0\end{array}\)
\( \Leftrightarrow c = \frac{3}{4}a\). Vậy \(f(x) = a\left( {{x^4} - 2{x^2} + \frac{3}{4}} \right)\)
Xét \(f(x) = 0 \Leftrightarrow {x^4} - 2{x^2} + \frac{3}{4} = 0 \Leftrightarrow \left[ {\begin{array}{*{20}{l}}{x = \pm \frac{1}{{\sqrt 2 }}}\\{x = \pm \sqrt {\frac{3}{2}} }\end{array}} \right.\).
Vậy \({S_1} = \int\limits_0^{\frac{1}{{\sqrt 2 }}} {|f(x)|dx} = \int\limits_0^{\frac{1}{{\sqrt 2 }}} {f(x)dx} = a\int\limits_0^{\frac{1}{{\sqrt 2 }}} {\left( {{x^4} - 2{x^2} + \frac{3}{4}} \right)} dx = \frac{{7\sqrt 2 }}{{30}}a\).
\({S_2} = \int\limits_{\frac{1}{{\sqrt 2 }}}^1 {|f(x)|dx} = - \int\limits_{\frac{1}{{\sqrt 2 }}}^1 {f(x)dx} = - a\int\limits_{\frac{1}{{\sqrt 2 }}}^1 {\left( {{x^4} - 2{x^2} + \frac{3}{4}} \right)} dx = \frac{{14\sqrt 2 - 17}}{{60}}a\).
Suy ra \({S_1} + {S_2} = \frac{{7\sqrt 2 }}{{30}}a + \frac{{14\sqrt 2 - 17}}{{60}}a = \frac{{28\sqrt 2 - 17}}{{60}}a\).
Ta có \({S_1} + {S_2} + {S_3} + {S_4}\) là diện tích hình chữ nhật có các kích thước \(1;f\left( {{x_2}} \right) - f\left( {{x_3}} \right) = a\).
Khi đó \({S_1} + {S_2} + {S_3} + {S_4} = a\).
Do đó \({S_3} + {S_4} = a - \left( {{S_1} + {S_2}} \right) = a - \frac{{28\sqrt 2 - 17}}{{60}}a = \frac{{7(11 - 4\sqrt 2 )}}{{60}}a.\)
\( \Rightarrow \frac{{{S_1} + {S_2}}}{{{S_3} + {S_4}}} = \frac{{28\sqrt 2 - 17}}{{7(11 - 4\sqrt 2 )}} \approx 0,6\)
Hot: 1000+ Đề thi giữa kì 2 file word cấu trúc mới 2026 Toán, Văn, Anh... lớp 1-12 (chỉ từ 60k). Tải ngay
- Tuyển tập 30 đề thi đánh giá năng lực Đại học Quốc gia TP Hồ Chí Minh (2 cuốn) ( 140.000₫ )
- Tuyển tập 30 đề thi đánh giá năng lực Đại học Quốc gia Hà Nội 2025 (Tập 1) ( 39.000₫ )
- Tuyển tập 15 đề thi Đánh giá tư duy Đại học Bách Khoa Hà Nội 2025 (Tập 1) ( 39.000₫ )
- Tuyển tập 30 đề thi đánh giá năng lực Đại học Quốc gia Hà Nội, TP Hồ Chí Minh (2 cuốn) ( 150.000₫ )
CÂU HỎI HOT CÙNG CHỦ ĐỀ
Lời giải
Đáp án đúng là B
Phương pháp giải
+ Tính ab/ab -> ab = ?
+ Tính f khi biết ab
=> Tính tỉ lệ các kiểu hình còn lại
Ruồi giấm đực không có HVG
Lời giải
Ruồi cái thân đen, cánh cụt, mắt đỏ:
\(A - bb{X^D}{X^ - } = 10,25\% \Rightarrow A - bb = \frac{{0,1025}}{{0,5{X^D}{X^ - }}} = 0,205\)
\( \Rightarrow \frac{{ab}}{{ab}} = 0,045 \to \underline {ab} \)♀\( = 0,09 = \frac{f}{2}\)(vì bên đực không có HVG nên cho ab = 0,5)
⇒ tần số HVG = 18% ⇒ A−B− = 0,545
I đúng, số kiểu gene tối đa: 7 × 4 = 28; số kiểu hình = 4 × 3= 12.
II sai, tần số HVG = 18%.
III sai, A-B-XDY = 0,545 0,25 XDY = 0,13625.
IV đúng, số cá thể cái dị hợp tử về 1 trong 3 cặp gene:
(0,41Ab + 0,41aB) × (0,5AB + 0,5ab) × 0,25XDXD + (0,09AB × 0,5AB + 0,09ab × 0,5ab) × 0,25XDXd = 0,2275
Câu 2
Lời giải
Đáp án đúng là D
Phương pháp giải
Áp suất phân tử chất khí: \(p = \frac{1}{3}\rho \overline {{v^2}} \)
Lời giải
Áp suất mà khí đó tác dụng lên thành bình là:
\(p = \frac{1}{3}.\frac{m}{V}\overline {{v^2}} = \frac{1}{3}\rho \overline {{v^2}} \)
\[ \to p = \frac{1}{3}{.6.10^{ - 2}}{.500^2} = {5.10^3}\,(Pa)\]
Lời giải
Bạn cần đăng ký gói VIP ( giá chỉ từ 199K ) để làm bài, xem đáp án và lời giải chi tiết không giới hạn.
Câu 4
Lời giải
Bạn cần đăng ký gói VIP ( giá chỉ từ 199K ) để làm bài, xem đáp án và lời giải chi tiết không giới hạn.
Câu 5
Lời giải
Bạn cần đăng ký gói VIP ( giá chỉ từ 199K ) để làm bài, xem đáp án và lời giải chi tiết không giới hạn.
Câu 6
Lời giải
Bạn cần đăng ký gói VIP ( giá chỉ từ 199K ) để làm bài, xem đáp án và lời giải chi tiết không giới hạn.
Câu 7
Lời giải
Bạn cần đăng ký gói VIP ( giá chỉ từ 199K ) để làm bài, xem đáp án và lời giải chi tiết không giới hạn.

