Cho hai hàm số \(f\left( x \right) = a{x^3} + b{x^2} + cx - \frac{1}{2}\) và \(g\left( x \right) = d{x^2} + ex + 1\,\,\left( {a,b,c,d,e \in \mathbb{R}} \right)\). Biết rằng đồ thị của hàm số \(y = f\left( x \right)\) và \(y = g\left( x \right)\) cắt nhau tại ba điểm có hoành độ lần lượt là \( - 3;\,\, - 1;\,\,1\) (tham khảo hình vẽ). Hình phẳng giới hạn bởi hai đồ thị đã cho có diện tích bằng

Quảng cáo
Trả lời:
Đáp án đúng là C
Phương pháp giải
Ứng dụng của tích phân.
Lời giải

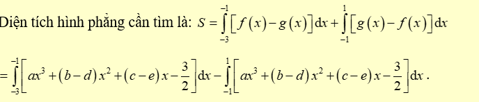
Trong đó phương trình \(a{x^3} + \left( {b - d} \right){x^2} + \left( {c - e} \right)x - \frac{3}{2} = 0\left( {\rm{*}} \right)\) là phương trình hoành độ giao điểm của hai đồ thị hàm số \(y = f\left( x \right)\) và \(y = g\left( x \right)\).
Phương trình \(\left( {\rm{*}} \right)\) có nghiệm \( - 3; - 1;1\) nên
\[\left\{ {\begin{array}{*{20}{l}}{ - 27a + 9(b - d) - 3(c - e) - \frac{3}{2} = 0}\\{ - a + (b - d) - (c - e) - \frac{3}{2} = 0}\\{a + (b - d) + (c - e) - \frac{3}{2} = 0}\end{array}} \right.\] \[\]\( \Leftrightarrow \left\{ {\begin{array}{*{20}{l}}{ - 27a + 9(b - d) - 3(c - e) = \frac{3}{2}}\\{ - a + (b - d) - (c - e) = \frac{3}{2}}\\{a + (b - d) + (c - e) = \frac{3}{2}}\end{array} \Leftrightarrow \left\{ {\begin{array}{*{20}{l}}{a = \frac{1}{2}}\\{(b - d) = \frac{3}{2}}\\{(c - e) = - \frac{1}{2}}\end{array}} \right.} \right.\).
Vậy
\( = 2 - \left( { - 2} \right) = 4\).
Cách 2:
Phương trình hoành độ giao điểm của \(f\left( x \right)\) và \(g\left( x \right)\) là: \(a\left( {x + 3} \right)\left( {x + 1} \right)\left( {x - 1} \right) = 0\).
Dựa vào các hệ số tự do suy ra: \( - 3a = - \frac{1}{2} - 1 \Rightarrow a = \frac{1}{2}\).
Từ đó suy ra: \(f\left( x \right) - g\left( x \right) = \frac{1}{2}\left( {x + 3} \right)\left( {x + 1} \right)\left( {x - 1} \right)\).
Diện tích hình phẳng giới hạn bởi hai hàm số \(f\left( x \right)\) và \(g\left( x \right)\) là:
Hot: 1000+ Đề thi giữa kì 2 file word cấu trúc mới 2026 Toán, Văn, Anh... lớp 1-12 (chỉ từ 60k). Tải ngay
- Tuyển tập 30 đề thi đánh giá năng lực Đại học Quốc gia TP Hồ Chí Minh (2 cuốn) ( 140.000₫ )
- Tuyển tập 30 đề thi đánh giá năng lực Đại học Quốc gia Hà Nội 2025 (Tập 1) ( 39.000₫ )
- Tuyển tập 15 đề thi Đánh giá tư duy Đại học Bách Khoa Hà Nội 2025 (Tập 1) ( 39.000₫ )
- Tuyển tập 30 đề thi đánh giá năng lực Đại học Quốc gia Hà Nội, TP Hồ Chí Minh (2 cuốn) ( 150.000₫ )
CÂU HỎI HOT CÙNG CHỦ ĐỀ
Lời giải
Đáp án đúng là A
Phương pháp giải
Sử dụng định luật phóng xạ về số hạt còn lại sau thời gian t: \(N = {N_0}{2^{ - \frac{t}{T}}}\)
Lời giải
Số hạt đã phân rã trong thời gian t:
\({N_\alpha } = {N_0}.\left( {1 - {2^{\frac{{ - t}}{T}}}} \right) \Rightarrow \left\{ {\begin{array}{*{20}{l}}{8\^o = {N_0}.\left( {1 - {2^{\frac{{ - 8}}{T}}}} \right)}\\{12\^o = {N_0}.\left( {1 - {2^{\frac{{ - 16}}{T}}}} \right)}\end{array} \Rightarrow \frac{8}{{12}}} \right. = \frac{{1 - {2^{\frac{{ - 8}}{T}}}}}{{1 - {2^{\frac{{ - 16}}{T}}}}} \Rightarrow T = 8s\)
Lời giải
Đáp án đúng là "5"
Phương pháp giải
Tính chất của tích phân.
Lời giải
Từ đồ thị của hàm số ta xác định được \(f\left( x \right) = \left\{ {\begin{array}{*{20}{l}}{{\rm{1}}\,\,{\rm{khi}} - 1 \le x < 2}\\{ - \frac{1}{2}x + 2\,\,{\rm{khi}}\,\,2 \le x \le 6}\end{array}} \right.\).
Do \(F\) là nguyên hàm của \(f\) nên \(F\left( x \right) = \left\{ {\begin{array}{*{20}{l}}{x + {C_1}\,\,{\rm{khi}}\,\, - 1 \le x < 2}\\{ - \frac{1}{4}{x^2} + 2x + {C_2}\,\,{\rm{khi}}\,\,2 \le x \le 6}\end{array}} \right.\).
Ta có \(F\left( { - 1} \right) = - 1 \Leftrightarrow - 1 + {C_1} = - 1 \Leftrightarrow {C_1} = 0\).
Hàm số \(y = f\left( x \right)\) liên tục trên đoạn \(\left[ { - 1;6} \right] \Rightarrow F\left( x \right)\) liên tục trên đoạn \(\left[ { - 1;6} \right]\)
\( \Rightarrow F\left( x \right)\) liên tục tại \(x = 2\)

Suy ra \(F\left( x \right) = \left\{ {\begin{array}{*{20}{l}}{x + {C_1}\,\,{\rm{khi}}\,\, - 1 \le x < 2}\\{ - \frac{1}{4}{x^2} + 2x - 1\,\,{\rm{khi}}\,\,2 \le x \le 6}\end{array}} \right.\). Vậy \(F\left( 4 \right) + F\left( 6 \right) = 5\).
Câu 3
Lời giải
Bạn cần đăng ký gói VIP ( giá chỉ từ 199K ) để làm bài, xem đáp án và lời giải chi tiết không giới hạn.
Lời giải
Bạn cần đăng ký gói VIP ( giá chỉ từ 199K ) để làm bài, xem đáp án và lời giải chi tiết không giới hạn.
Lời giải
Bạn cần đăng ký gói VIP ( giá chỉ từ 199K ) để làm bài, xem đáp án và lời giải chi tiết không giới hạn.
Lời giải
Bạn cần đăng ký gói VIP ( giá chỉ từ 199K ) để làm bài, xem đáp án và lời giải chi tiết không giới hạn.
Câu 7
Lời giải
Bạn cần đăng ký gói VIP ( giá chỉ từ 199K ) để làm bài, xem đáp án và lời giải chi tiết không giới hạn.



