Covering more than 70 percent of our planet, oceans are among the earth’s most valuable natural resources. They govern the weather, clean the air, help feed the world, and provide a living for millions. They also are home to most of the life on earth, from microscopic algae to the blue whale, the largest animal on the planet. Yet we’re bombarding them with pollution. By their very nature, the oceans are the end point for so much of the pollution we produce on land, however far from the coasts we may be. And from dangerous carbon emissions to choking plastic to leaking oil to constant noise, the types of ocean pollution humans generate are vast. As a result, collectively, our impact on the seas is degrading their health at an alarming rate. Here are some ocean pollution facts that everyone on our blue planet ought to know.
When we burn fossil fuels, we don’t pollute just the air but the oceans, too. Indeed, today’s seas absorb as much as a quarter of all man-made carbon emissions, which changes the pH of surface waters and leads to acidification. Oceans are now acidifying faster than they have in some 300 million years. It’s estimated that by the end of this century, if we keep pace with our current emissions practices, the surface waters of the ocean could be nearly 150 percent more acidic than they are now.
The majority of the garbage that enters the ocean each year is plastiC. That’s because unlike other trash, the single-use grocery bags, water bottles, drinking straws, and yogurt containers, among eight million metric tons of plastic items we toss, won’t biodegrade. Instead, they can persist in the environment for a millennium, polluting our beaches, entangling marine life, and getting ingested by fish and seabirds.
Where does all this debris originate? While some are dumped directly into the seas, an estimated 80 percent of marine litter makes its way there gradually from land-based sources via storm drains, sewers, and other routes. Oil from boats, airplanes, cars, trucks and even lawn mowers is also swimming in ocean waters. Chemical discharges from factories, raw sewage overflow from water treatment systems, and storm water and agricultural runoff add other forms of marine-poisoning pollutants to the toxic brew.
The ocean is far from a “silent world.” Sound waves travel farther and faster in the sea’s dark depths than they do in the air, and many marine mammals like whales and dolphins, in addition to fish and other sea creatures, rely on communication by sound to find food, mate, and navigate. But an increasing barrage of human-generated ocean noise pollution is altering the underwater acoustic landscape, harming—and even killing—marine species worldwide.
What is the passage mainly about?
Covering more than 70 percent of our planet, oceans are among the earth’s most valuable natural resources. They govern the weather, clean the air, help feed the world, and provide a living for millions. They also are home to most of the life on earth, from microscopic algae to the blue whale, the largest animal on the planet. Yet we’re bombarding them with pollution. By their very nature, the oceans are the end point for so much of the pollution we produce on land, however far from the coasts we may be. And from dangerous carbon emissions to choking plastic to leaking oil to constant noise, the types of ocean pollution humans generate are vast. As a result, collectively, our impact on the seas is degrading their health at an alarming rate. Here are some ocean pollution facts that everyone on our blue planet ought to know.
When we burn fossil fuels, we don’t pollute just the air but the oceans, too. Indeed, today’s seas absorb as much as a quarter of all man-made carbon emissions, which changes the pH of surface waters and leads to acidification. Oceans are now acidifying faster than they have in some 300 million years. It’s estimated that by the end of this century, if we keep pace with our current emissions practices, the surface waters of the ocean could be nearly 150 percent more acidic than they are now.
The majority of the garbage that enters the ocean each year is plastiC. That’s because unlike other trash, the single-use grocery bags, water bottles, drinking straws, and yogurt containers, among eight million metric tons of plastic items we toss, won’t biodegrade. Instead, they can persist in the environment for a millennium, polluting our beaches, entangling marine life, and getting ingested by fish and seabirds.
Where does all this debris originate? While some are dumped directly into the seas, an estimated 80 percent of marine litter makes its way there gradually from land-based sources via storm drains, sewers, and other routes. Oil from boats, airplanes, cars, trucks and even lawn mowers is also swimming in ocean waters. Chemical discharges from factories, raw sewage overflow from water treatment systems, and storm water and agricultural runoff add other forms of marine-poisoning pollutants to the toxic brew.
The ocean is far from a “silent world.” Sound waves travel farther and faster in the sea’s dark depths than they do in the air, and many marine mammals like whales and dolphins, in addition to fish and other sea creatures, rely on communication by sound to find food, mate, and navigate. But an increasing barrage of human-generated ocean noise pollution is altering the underwater acoustic landscape, harming—and even killing—marine species worldwide.
What is the passage mainly about?
Quảng cáo
Trả lời:
Đáp án đúng là A
Phương pháp giải
Câu hỏi tìm ý chính
Lời giải
Đoạn văn chủ yếu nói về điều gì?
A. Đại dương đang bị ô nhiễm bởi nhiều nguồn ô nhiễm khác nhau.
B. Đại dương mang lại vô số lợi ích cho con người trên Trái đất.
C. Chất thải từ hoạt động của con người là nguyên nhân gây ô nhiễm đại dương.
D. Mọi người nên biết họ đã làm gì với đại dương.
Để xác định ý chính của đoạn văn, ta cần xem xét nội dung tổng thể.
Câu mở đầu của đoạn văn đầu tiên đề cập đến vai trò quan trọng của đại dương:
"Covering more than 70 percent of our planet, oceans are among the earth’s most valuable natural resources."
(Chiếm hơn 70% bề mặt hành tinh, đại dương là một trong những tài nguyên thiên nhiên quý giá nhất của Trái đất.)
Sau đó, đoạn văn nhấn mạnh vấn đề ô nhiễm đại dương với nhiều dạng khác nhau:
"Yet we’re bombarding them with pollution."
(Tuy nhiên, chúng ta đang liên tục tấn công chúng bằng ô nhiễm.)
Các đoạn sau tiếp tục trình bày chi tiết các dạng ô nhiễm như khí thải carbon, nhựa, dầu, hóa chất, và tiếng ồn nhân tạo, tác động nghiêm trọng đến hệ sinh thái biển.
→ Nội dung chính của đoạn văn tập trung vào việc đại dương đang bị ô nhiễm bởi nhiều nguồn khác nhau.
Câu hỏi cùng đoạn
Câu 2:
Which of the following is NOT mentioned in the passage as a consequence of ocean pollution?
Which of the following is NOT mentioned in the passage as a consequence of ocean pollution?
A. The acidification of ocean water
Đáp án đúng là B
Phương pháp giải
Câu hỏi tìm thông tin chi tiết
Lời giải
Điều nào sau đây KHÔNG được đề cập trong đoạn văn như một hậu quả của ô nhiễm đại dương?
A. Sự axit hóa của nước biển
→ Được đề cập trong đoạn thứ hai: "Indeed, today’s seas absorb as much as a quarter of all man-made carbon emissions, which changes the pH of surface waters and leads to acidification."
(Thực tế, các đại dương ngày nay hấp thụ tới một phần tư lượng khí thải carbon do con người tạo ra, làm thay đổi độ pH của nước bề mặt và dẫn đến hiện tượng axit hóa.)
→ Được đề cập → Không phải đáp án đúng
B. Sự tuyệt chủng của một số loài sinh vật biển
→ Đoạn cuối cùng đề cập đến tác động của ô nhiễm tiếng ồn đến sinh vật biển: "But an increasing barrage of human-generated ocean noise pollution is altering the underwater acoustic landscape, harming—and even killing—marine species worldwide."
(Nhưng sự gia tăng tiếng ồn do con người tạo ra đang thay đổi môi trường âm thanh dưới nước, làm hại – và thậm chí giết chết – các loài sinh vật biển trên toàn thế giới.)
Tuy nhiên, bài viết chỉ nói đến việc làm hại hoặc giết chết, chứ không đề cập đến sự tuyệt chủng của một số loài. → Không được đề cập trực tiếp → Là đáp án đúng
C. Sự vướng mắc của động vật biển vào rác thải nhựa
Được đề cập trong đoạn thứ ba: "Instead, they can persist in the environment for a millennium, polluting our beaches, entangling marine life, and getting ingested by fish and seabirds."
(Chúng có thể tồn tại trong môi trường hàng thiên niên kỷ, làm ô nhiễm bờ biển, làm động vật biển bị vướng mắc, và bị cá, chim biển nuốt vào.)
→ Được đề cập → Không phải đáp án đúng
D. Sự thay đổi của môi trường âm thanh dưới nước
Được đề cập trong đoạn cuối: "But an increasing barrage of human-generated ocean noise pollution is altering the underwater acoustic landscape..."
(Nhưng sự gia tăng tiếng ồn do con người tạo ra đang thay đổi môi trường âm thanh dưới nước...)
→ Được đề cập → Không phải đáp án đúng
Câu 3:
The word "degrading" in paragraph 1 is closest in meaning to _______
The word "degrading" in paragraph 1 is closest in meaning to _______
Đáp án đúng là B
Phương pháp giải
Câu hỏi tìm thông tin chi tiết
Lời giải
Từ "degrading" trong đoạn 1 gần nghĩa nhất với _______.
A. ảnh hưởng đến
B. làm suy yếu
C. duy trì
D. nâng cao
Câu chứa từ "degrading" trong đoạn 1: "As a result, collectively, our impact on the seas is degrading their health at an alarming rate."
(Kết quả là, tác động của chúng ta lên đại dương đang làm suy giảm sức khỏe của chúng với tốc độ đáng báo động.) Degrading xuất phát từ động từ "degrade", có nghĩa là làm suy thoái, làm giảm chất lượng hoặc làm yếu đi.
Câu 4:
The passage states that "Oceans are now acidifying faster than they have in some 300 million years."
Which of the following best expresses the same idea?
The passage states that "Oceans are now acidifying faster than they have in some 300 million years."
Which of the following best expresses the same idea?
Đáp án đúng là B
Phương pháp giải
Câu hỏi paraphrasing
Lời giải
Đoạn văn nói rằng "Oceans are now acidifying faster than they have in some 300 million years."
(Các đại dương hiện đang bị axit hóa nhanh hơn so với bất kỳ thời điểm nào trong khoảng 300 triệu năm qua.)
Câu nào dưới đây diễn đạt lại ý tương tự nhất?
A. Đại dương chưa bao giờ có tính axit như hiện nay.
Câu gốc nói về tốc độ axit hóa nhanh nhất trong 300 triệu năm qua, không phải về mức độ axit cao nhất từ trước đến nay.
Do đó, câu này không chính xác.
B. Quá trình axit hóa đại dương đang diễn ra với tốc độ chưa từng có trong 300 triệu năm qua.
"At an unprecedented rate" nghĩa là với tốc độ chưa từng có, đúng với nghĩa của câu gốc.
Câu này diễn đạt đúng ý rằng tốc độ axit hóa hiện nay là nhanh nhất trong 300 triệu năm.
→ Đúng
C. Độ axit của đại dương đã duy trì ổn định trong 300 triệu năm qua.
Câu này phủ nhận nội dung của câu gốc, vì bài đọc nói rằng có sự thay đổi lớn trong thời gian gần đây. → Sai
D. Quá trình axit hóa đại dương đã diễn ra chậm và ổn định trong 300 triệu năm qua.
Câu gốc nói về tốc độ axit hóa nhanh chóng hiện nay, không phải một quá trình diễn ra chậm và ổn định. → Sai
Câu 5:
It can be inferred from the passage that _______.
It can be inferred from the passage that _______.
A. oceans are at risk because of human activities.
D. tiny creatures are affected by the alteration of the oceans more than big ones.
Đáp án đúng là A
Phương pháp giải
Câu hỏi suy luận
Lời giải
Có thể suy ra từ đoạn văn rằng _______.
A. các đại dương đang gặp nguy hiểm vì hoạt động của con người.
Đoạn văn nói rõ về các tác động tiêu cực của con người lên đại dương, bao gồm ô nhiễm nhựa, khí thải carbon, dầu loang và ô nhiễm tiếng ồn.
Câu này hoàn toàn đúng với nội dung bài đọc. → Có thể suy ra từ bài đọc
B. con người không quan tâm nhiều đến những gì họ đã làm với đại dương.
Bài đọc không đề cập đến việc con người có quan tâm hay không mà chỉ mô tả các vấn đề gây ra bởi con người. Do đó, không thể suy ra điều này từ đoạn văn.
C. con người vẫn chưa tìm ra cách hiệu quả để bảo vệ đại dương.
Bài đọc không đề cập đến các biện pháp bảo vệ đại dương, chỉ tập trung vào các vấn đề ô nhiễm.
Vì vậy, không thể khẳng định rằng con người chưa tìm ra cách bảo vệ đại dương.
D. các sinh vật nhỏ bị ảnh hưởng bởi sự thay đổi của đại dương nhiều hơn các loài lớn.
Đoạn văn có nhắc đến tác động của ô nhiễm lên sinh vật biển, nhưng không so sánh sinh vật nhỏ bị ảnh hưởng nhiều hơn sinh vật lớn. Vì vậy, đây là một suy luận không chính xác.
Hot: 1000+ Đề thi cuối kì 2 file word cấu trúc mới 2026 Toán, Văn, Anh... lớp 1-12 (chỉ từ 60k). Tải ngay
CÂU HỎI HOT CÙNG CHỦ ĐỀ
Câu 1
Lời giải
Đáp án đúng là C
Phương pháp giải
Lời giải
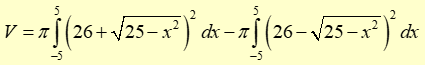
Cái săm được coi như là vật thể tròn xoay được tạo thành khi quay hình tròn bán kính \(R = \frac{{31 - 21}}{2} = 5\left( {{\rm{cm}}} \right)\) quanh trục \(Ox\) (hình vẽ)

Phương trình đường tròn \({x^2} + {(y - 26)^2} = 25 \Leftrightarrow \left[ {\begin{array}{*{20}{l}}{y = 26 + \sqrt {25 - {x^2}} }\\{y = 26 - \sqrt {25 - {x^2}} }\end{array}} \right.\)
Vậy thể tích khối không khí trong cái săm là:

\( = \pi \int\limits_{ - 5}^5 {104\sqrt {25 - {x^2}} dx} = 1300{\pi ^2}\)
Lời giải
Đáp án đúng là C
Phương pháp giải
Tính toán độ tan của muối X rồi so với bảng tính tan.
Lời giải
Độ tan của muối X là: \[\frac{{150}}{{200}}.100 = 75{\rm{g/}}100{\rm{g}}\,{{\rm{H}}_2}{\rm{O}}\].
Vậy muối X là Ca(NO3)2.
Chọn đáp án C.
Lời giải
Bạn cần đăng ký gói VIP ( giá chỉ từ 250K ) để làm bài, xem đáp án và lời giải chi tiết không giới hạn.
Câu 4
Lời giải
Bạn cần đăng ký gói VIP ( giá chỉ từ 250K ) để làm bài, xem đáp án và lời giải chi tiết không giới hạn.
Câu 5
b. Vì nó có một trung tâm điều hành giúp kiểm soát sự chú ý và xử lý thông tin.
Lời giải
Bạn cần đăng ký gói VIP ( giá chỉ từ 250K ) để làm bài, xem đáp án và lời giải chi tiết không giới hạn.
Lời giải
Bạn cần đăng ký gói VIP ( giá chỉ từ 250K ) để làm bài, xem đáp án và lời giải chi tiết không giới hạn.


