Cho \(y = f\left( x \right)\) có đồ thị \(f'\left( x \right)\) như hình vẽ:
Giá trị nhỏ nhất của hàm số \(g\left( x \right) = f\left( x \right) + \frac{1}{3}{x^3} - x\) trên đoạn \(\left[ { - 1;2} \right]\) bằng
Quảng cáo
Trả lời:
Đáp án A

\(g'\left( x \right) = f'\left( x \right) + {x^2} - 1\)
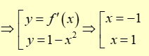
\(g'\left( x \right) = 0 \Rightarrow f'\left( x \right) = 1 - {x^2}\)


\( \Rightarrow \) Giá trị nhỏ nhất của hàm số trên đoạn \(\left[ { - 1;2} \right]\) bằng \(f\left( 1 \right) - \frac{2}{3}\)
Hot: 1000+ Đề thi giữa kì 2 file word cấu trúc mới 2026 Toán, Văn, Anh... lớp 1-12 (chỉ từ 60k). Tải ngay
- Tuyển tập 30 đề thi đánh giá năng lực Đại học Quốc gia TP Hồ Chí Minh (2 cuốn) ( 140.000₫ )
- Tuyển tập 15 đề thi Đánh giá tư duy Đại học Bách Khoa Hà Nội 2025 (Tập 1) ( 39.000₫ )
- Tuyển tập 30 đề thi đánh giá năng lực Đại học Quốc gia Hà Nội 2025 (Tập 1) ( 39.000₫ )
- Tuyển tập 30 đề thi đánh giá năng lực Đại học Quốc gia Hà Nội, TP Hồ Chí Minh (2 cuốn) ( 150.000₫ )
CÂU HỎI HOT CÙNG CHỦ ĐỀ
Câu 1
Lời giải
Đáp án C
Hướng dẫn giải
Đoạn văn tập trung vào những nguy hiểm và giải pháp liên quan đến “tin giả”.
Bản dịch đoạn văn: Khái niệm “tin giả”, hay việc cố tình lan truyền thông tin sai lệch, ngày càng trở nên phổ biến trong thời đại kỹ thuật số. Việc dễ dàng tạo và phổ biến thông tin sai lệch trực tuyến đặt ra mối đe dọa đáng kể đối với diễn ngôn công khai sáng suốt và các quy trình dân chủ. Việc xác định và chống lại tin giả đòi hỏi kỹ năng tư duy phản biện và hiểu biết về truyền thông. Các cá nhân nên hoài nghi về thông tin gặp phải trực tuyến, đặc biệt là từ các nguồn không quen thuộc. Xác minh thông tin thông qua các trang web kiểm tra sự kiện uy tín và tham khảo nhiều nguồn là những bước quan trọng để phân biệt sự thật với sự giả dối. Hơn nữa, các nền tảng truyền thông xã hội có trách nhiệm thực hiện các biện pháp để hạn chế sự lan truyền tin giả và quảng bá thông tin chính xác. Giải quyết thách thức của tin giả đòi hỏi nỗ lực chung từ các cá nhân, tổ chức và nền tảng trực tuyến.
Câu 2
Lời giải
Đáp án B
Hướng dẫn giải
Đoạn văn tập trung vào cả lợi ích và thách thức của nền kinh tế gig, không chỉ riêng lợi ích hay thách thức, cũng không phải lịch sử hay định nghĩa.
Bản dịch đoạn văn: Nền kinh tế gig, được đặc trưng bởi các công việc tạm thời, linh hoạt được tạo điều kiện thuận lợi bởi các nền tảng kỹ thuật số, đang thay đổi bản chất của công việc. Mô hình này mang lại cho người lao động quyền tự chủ và sự linh hoạt cao hơn, cho phép họ đặt giờ làm việc của riêng mình và chọn các dự án phù hợp với kỹ năng và sở thích của họ. Tuy nhiên, nó cũng làm dấy lên lo ngại về an ninh việc làm, thiếu phúc lợi và khả năng bị bóc lột. Khi nền kinh tế gig tiếp tục phát triển, điều cần thiết là phải giải quyết những thách thức này và đảm bảo các hoạt động lao động công bằng cho tất cả người lao động. Việc tìm kiếm sự cân bằng giữa tính linh hoạt và bảo vệ người lao động sẽ rất quan trọng cho sự phát triển bền vững của mô hình kinh tế mới này.
Câu 3
Lời giải
Bạn cần đăng ký gói VIP ( giá chỉ từ 199K ) để làm bài, xem đáp án và lời giải chi tiết không giới hạn.
Câu 4
Lời giải
Bạn cần đăng ký gói VIP ( giá chỉ từ 199K ) để làm bài, xem đáp án và lời giải chi tiết không giới hạn.
Lời giải
Bạn cần đăng ký gói VIP ( giá chỉ từ 199K ) để làm bài, xem đáp án và lời giải chi tiết không giới hạn.
Câu 6
Lời giải
Bạn cần đăng ký gói VIP ( giá chỉ từ 199K ) để làm bài, xem đáp án và lời giải chi tiết không giới hạn.
Câu 7
Lời giải
Bạn cần đăng ký gói VIP ( giá chỉ từ 199K ) để làm bài, xem đáp án và lời giải chi tiết không giới hạn.