Cho đa thức \[P\left( x \right) = - 2 - 2{x^4} - x - 5{x^3} + 10x - 17{x^2} + \frac{1}{2}{x^3} - 5 + {x^3}\].
A. Thu gọn đa thức \[P\left( x \right) = - 2{x^4} - \frac{7}{2}{x^3} - 17{x^2} + 9x - 2\].
B. Đa thức \[P\left( x \right)\] có bậc là 4.
C. Đa thức \[P\left( x \right)\] có hệ số cao nhất là \[ - 17\].
D. Phép chia đa thức \[P\left( x \right):\left( {x - 2} \right)\] có dư là \[2\].
Quảng cáo
Trả lời:
Đáp án đúng là: a) Sai. b) Đúng. c) Sai. d) Sai.
Ta có: \[P\left( x \right) = - 2 - 2{x^4} - x - 5{x^3} + 10x - 17{x^2} + \frac{1}{2}{x^3} - 5 + {x^3}\]
\[P\left( x \right) = - 2{x^4} + \left( {{x^3} + \frac{1}{2}{x^3} - 5{x^3}} \right) - 17{x^2} + \left( {10x - x} \right) + \left( { - 5 - 2} \right)\]
\[P\left( x \right) = - 2{x^4} - \frac{7}{2}{x^3} - 17{x^2} + 9x - 7\].
Do đó, đa thức \[P\left( x \right)\] có bậc là 4 và hệ số cao nhất là \[ - 2.\]
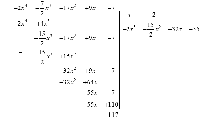
Thực hiện chia đa thức \[P\left( x \right)\] cho đa thức \[\left( {x - 2} \right)\], ta được:

Do đó, phép chia đa thức \[P\left( x \right):\left( {x - 2} \right)\] có dư là \[ - 117\].
Hot: 1000+ Đề thi cuối kì 2 file word cấu trúc mới 2026 Toán, Văn, Anh... lớp 1-12 (chỉ từ 60k). Tải ngay
CÂU HỎI HOT CÙNG CHỦ ĐỀ
Câu 1
A. \[AC = AK.\]
B. \[KA = KB.\]
C. \[BE < AC.\]
Lời giải
Đáp án đúng là: a) Đúng. b) Đúng. c) Sai. d) Đúng.

a) Xét \[\Delta CAE\] và \[\Delta KAE\], có:
\[\widehat {ACE} = \widehat {EKA} = 90^\circ \] (gt)
\[\widehat {CAE} = \widehat {EAK}\] (gt)
\[AE\] chung (gt)
Suy ra \[\Delta CAE = \Delta KAE\] (ch – gn)
Do đó, \[AC = AK\] (hai cạnh tương ứng)
b) Ta có: \[\widehat {ABC} = 180^\circ - \left( {90^\circ + 60^\circ } \right) = 30^\circ \].
Xét \[\Delta KAE\] và \[\Delta KEB\], có:
\[\widehat {AKE} = \widehat {EKB} = 90^\circ \]
\[\widehat {EAK} = \widehat {EBK} = 30^\circ \]
\[EK\] chung
Do đó, \[\Delta KAE = \Delta KEB\] (cgv – gn)
Suy ra \[KA = KB\] (hai cạnh tương ứng)
c) Xét \[\Delta KEB\] vuông tại \[K\] nên \[BE\] là cạnh huyền.
Do đó, \[BE > KB\].
Mà \[KB = KA = AC\] nên \[BE > AC.\]
d) Xét \[\Delta AEB\] có \[EK \bot AB,\]\[BD \bot AE\] và \[BE \bot AC\].
Do đó, ba đường cao \[AC,BD,KE\] trong \[\Delta AEB\] đồng quy.
Câu 2
A. Thu gọn đa thức \[P\left( x \right) = 3{x^2} - 4x - 1\].
B. Thu gọn đa thức \[Q\left( x \right) = - 3{x^2} - 4x - 2.\]
C. Đa thức \(g\left( x \right) = 6{x^2} + 1\) với \[g\left( x \right) = P\left( x \right) + Q\left( x \right)\].
D. Với \[g\left( x \right) = P\left( x \right) + Q\left( x \right)\] thì đa thức \[g\left( x \right)\] không phụ thuộc vào biến \[x.\]
Lời giải
Đáp án đúng là: a) Đúng. b) Đúng. c) Sai. d) Đúng.
a) Ta có: \[P\left( x \right) = 2{x^2} - 3{x^3} + {x^2} + 3x{}^3 - x - 1 - 3x\]
\[P\left( x \right) = \left( {3{x^3} - 3{x^3}} \right) + \left( {2{x^2} + {x^2}} \right) + \left( { - x - 3x} \right) - 1\]
\[P\left( x \right) = 3{x^2} - 4x - 1\].
b) Ta có: \[Q\left( x \right) = - 3{x^2} + 2{x^3} - x - 2{x^3} - 3x - 2\]
\[Q\left( x \right) = \left( {2{x^3} - 2{x^3}} \right) - 3{x^2} + \left( { - x - 3x} \right) - 2\]
\[Q\left( x \right) = - 3{x^2} - 4x - 2\].
c) Ta có: \[g\left( x \right) = P\left( x \right) + Q\left( x \right)\]
\[g\left( x \right) = 3{x^2} - 4x - 1 - 3{x^2} - 4x - 2\]
\[g\left( x \right) = - 3\].
d) Vì \[g\left( x \right) = - 3\] nên đa thức \[g\left( x \right)\] không phụ thuộc vào biến \[x.\]
Câu 3
A. Thu gọn đa thức \[M\left( x \right) = 2{x^4} + 4{x^3} - 6x + 1\].
B. Thu gọn đa thức \(N\left( x \right) = {x^4} - 2{x^3} + {x^2} + 6x - 6\).
C. \(8M\left( 1 \right) + N\left( { - 1} \right) = 16.\)
Lời giải
Bạn cần đăng ký gói VIP ( giá chỉ từ 250K ) để làm bài, xem đáp án và lời giải chi tiết không giới hạn.
Câu 4
A. Có \[52\] kết quả có thể xảy ra.
B. Có \[13\] kết quả thuận lợi cho biến cố: “Số xuất hiện trên thẻ được rút ra là số lẻ”.
C. Có \[7\] kết quả thuận lợi cho biến cố: “Số xuất hiện trên thẻ được rút ra là số chia hết cho 4”.
D. Xác suất của biến cố: “Số xuất hiện trên thẻ là hợp số” là \[\frac{3}{5}.\]
Lời giải
Bạn cần đăng ký gói VIP ( giá chỉ từ 250K ) để làm bài, xem đáp án và lời giải chi tiết không giới hạn.
Câu 5
\(12\% \);
\(15\% \);
\(30\% \);
\(34\% \).
Lời giải
Bạn cần đăng ký gói VIP ( giá chỉ từ 250K ) để làm bài, xem đáp án và lời giải chi tiết không giới hạn.
Lời giải
Bạn cần đăng ký gói VIP ( giá chỉ từ 250K ) để làm bài, xem đáp án và lời giải chi tiết không giới hạn.
