Đề thi tuyển sinh Toán vào lớp 10 (chuyên) năm 2025-2026 sở GD&ĐT Hà Nội
Khoahoc.vietjack.com cập nhật Đề thi tuyển sinh Toán vào lớp 10 (chuyên) năm 2025-2026 sở GD&ĐT Hà Nội sẽ giúp học sinh nắm được cấu trúc đề thi và có thêm tài liệu ôn thi vào lớp 10 môn Toán. Mời các bạn đón đọc:
- Bộ đề thi Toán vào 10 năm 2025 có đầy đủ lời giải chi tiết:
Xem thử Bộ đề thi thử vào 10 Toán 2025Xem thử Bộ đề thi vào 10 Toán 2025 Xem thử Chuyên đề Toán ôn vào 10
- Bộ đề thi vào 10 môn Toán Hà Nội, Tp.HCM, Đà Nẵng gồm 8 đề thi CHÍNH THỨC từ năm 2015 → 2024 có lời giải chi tiết giúp Giáo viên có thêm tài liệu ôn thi Toán vào 10 Hà Nội, Tp.HCM, Đà Nẵng:
Xem thử Đề vào 10 Hà NộiXem thử Đề vào 10 TP.HCMXem thử Đề vào 10 Đà Nẵng
Chỉ từ 150k mua trọn bộ Đề ôn thi vào 10 môn Toán năm 2026 theo cấu trúc mới bản word có lời giải chi tiết:
A. Tóm tắt nội dung một số câu trong Đề thi Toán vào lớp 10
Câu IV (3,0 điểm)
Cho tam giác ABC có ba góc nhọn (AB < AC), nội tiếp đường tròn (O). Hai đường cao AD, CF của tam giác ABC cắt nhau tại điểm H. Gọi M là trung điểm của đoạn thẳng BC. Tia MH cắt đường tròn (O) tại điểm T. Kẻ đường kính AK của đường tròn (O).
1) Chứng minh ba điểm T, H, K thẳng hàng.
2) Đường thẳng qua B và vuông góc với đường thẳng AM tại điểm E, cắt đường thẳng AD tại điểm G. Đường tròn ngoại tiếp tam giác MDG cắt đường tròn ngoại tiếp tam giác ADC tại hai điểm D và N. Chứng minh đường thẳng NE song song với đường thẳng BF.
3) Kẻ dây cung AX của đường tròn (O) sao cho đường thẳng AX song song với đường thẳng BC. Chứng minh ba đường thẳng MX, TD và AN đồng quy.
Câu V (1,0 điểm)
Hai trường trung học cơ sở A và B tổ chức chung một buổi liên hoan cho các học sinh tiêu biểu. Biết rằng trong buổi liên hoan này:
(i) mỗi học sinh trường A quen với đúng 5 học sinh khác cũng của trường A;
(ii) mỗi học sinh trường A quen với đúng 4 học sinh trường B;
(iii) mỗi học sinh trường B quen với đúng 3 học sinh trường A;
(iv) tổng số học sinh của hai trường tham dự không vượt quá 80.
1) Số học sinh trường A tham dự buổi liên hoan có thể là 25 học sinh được không? Vì sao?
2) Tổng số học sinh của hai trường tham dự buổi liên hoan có thể nhiều nhất là bao nhiêu? Vì sao?
...........................................................................................
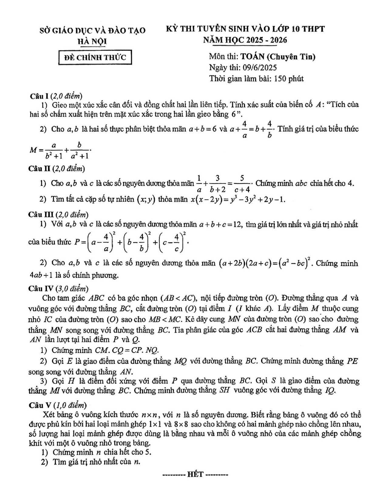
B. Nội dung Đề thi Toán vào lớp 10 (chuyên) năm 2025 - 2026 sở GD&ĐT Hà Nội












C. Chiến lược ôn thi vào 10 môn Toán hiệu quả
Qua đề thi tuyển sinh Toán vào lớp 10 (chuyên) năm 2025-2026 sở GD&ĐT Hà Nội trên, các em đã nắm được cấu trúc cũng như các dạng bài tập có trong đề thi. Cùng tham gia ôn luyện các Đề thi Toán vào lớp 10 mới nhất trên khoahoc.vietjack.com để ôn thi Toán đạt kết quả cao.