Đề cương ôn tập Giữa kì 1 Toán 12 trường THPT Xuân Phương (Hà Nội) năm 2025–2026
Khoahoc.vietjack.com cập nhật Đề cương ôn tập Giữa kì 1 Toán 12 trường THPT Xuân Phương, tỉnh Hà Nội năm 2025 – 2026 sẽ giúp học sinh lớp 12 có thêm tài liệu ôn thi Toán 12 Giữa học kì 1. Mời các bạn đón đọc:
Xem thử Đề cương ôn tập GK1 Toán 12 KNTTXem thử Đề cương ôn tập GK1 Toán 12 CTST Xem thử Đề cương ôn tập GK1 Toán 12 CD
Chỉ từ 80k mua trọn bộ đề cương ôn tập Toán 12 Giữa kì 1 theo cấu trúc mới bản word có lời giải chi tiết, trình bày đẹp mắt, dễ dàng chỉnh sửa:
A. Tóm tắt nội dung một số câu trong Đề cương Giữa kì 1 Toán 12
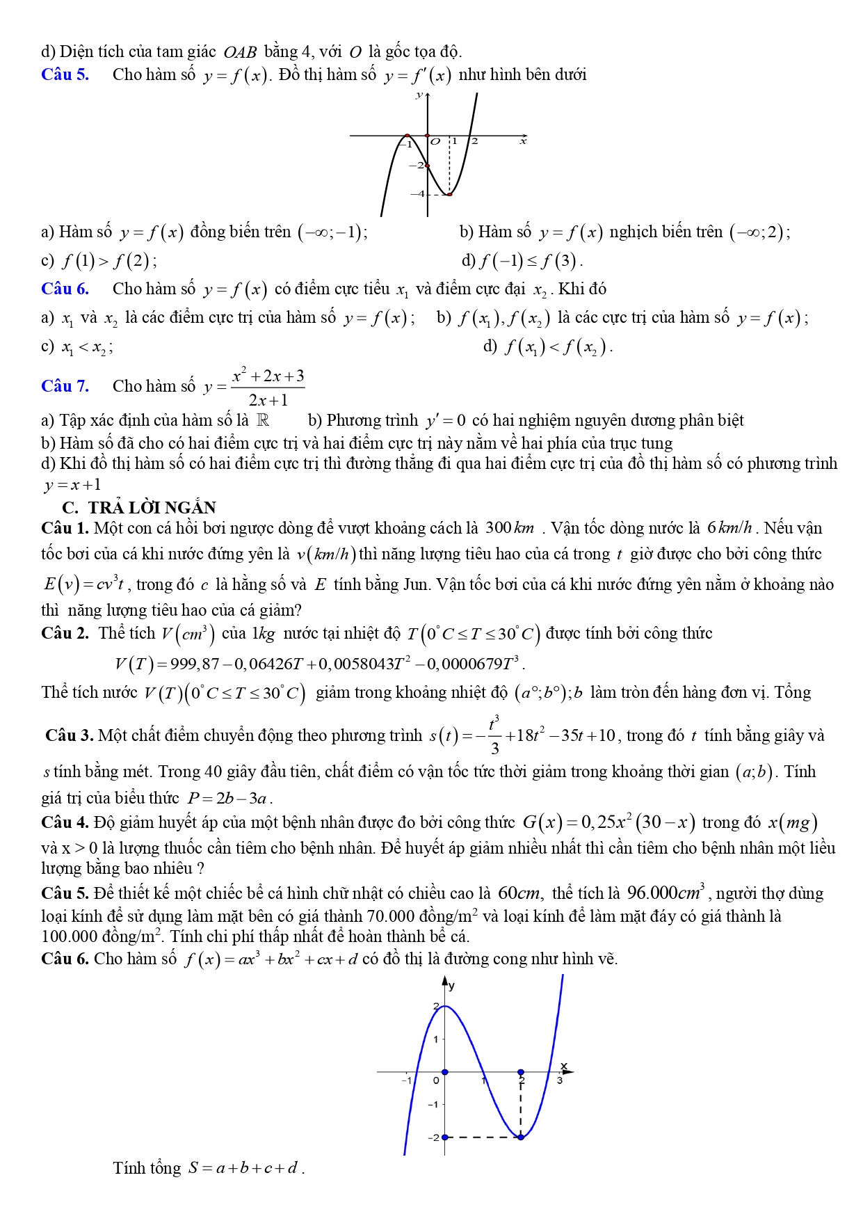
A. KIẾN THỨC TRỌNG TÂM
1. Tính đơn điệu và cực trị của hàm số
2. Giá trị lớn nhất và giá trị nhỏ nhất của hàm số
3. Đường tiệm cận của đồ thị hàm số
4. Khảo sát sự biến thiên và vẽ đồ thị hàm số
5. Ứng dụng của đạo hàm để giải quyết một số vấn đề liên quan đến thực tiễn.
B. BÀI TẬP THAM KHẢO
CHỦ ĐỀ 1: TÍNH ĐƠN ĐIỆU VÀ CỰC TRỊ CỦA HÀM SỐ
A. TRẮC NGHIỆM 4 ĐÁP ÁN
Câu 12: Hàm số y = f(x) có đạo hàm y' = x^2. Mệnh đề nào sau đây đúng?
A. Hàm số nghịch biến trên R.
B. Hàm số nghịch biến trên (-∞;0) và đồng biến trên (0; +∞).
C. Hàm số đồng biến trên R.
D. Hàm số đồng biến trên (-∞;0) và nghịch biến trên (0;+∞).
Câu 21: Cho hàm số y = f(x) có bảng biến thiên như sau:

Giá trị cực tiểu của hàm số đã cho bằng
A.2.
B. 3.
C. 0.
D. 4.
B. TRẮC NGHIỆM ĐÚNG SAI
...........................................................................................
C. TRẢ LỜI NGẮN
Câu 4. Độ giảm huyết áp của một bệnh nhân được đo bởi công thức G(x) = 0, 25x^2(30 - x) trong đó x(mg) và x > 0 là lượng thuốc cần tiêm cho bệnh nhân. Để huyết áp giảm nhiều nhất thì cần tiêm cho bệnh nhân một liều lượng bằng bao nhiêu ?
...........................................................................................
B. Nội dung Đề cương giữa học kì 1 Toán 12 trường THPT Xuân Phương (Hà Nội) năm 2025–2026














