Đề cương ôn tập Giữa kì 1 Toán 11 trường THPT Sơn Động 3 (Bắc Ninh) năm 2025–2026
Khoahoc.vietjack.com cập nhật Đề cương ôn tập Giữa kì 1 Toán 11 trường THPT Sơn Động 3, tỉnh Bắc Ninh năm 2025 – 2026 sẽ giúp học sinh lớp 11 có thêm tài liệu ôn thi Toán 11 Giữa học kì 1. Mời các bạn đón đọc:
Xem thử Đề cương ôn tập Toán 11 GK1 KNTTXem thử Đề cương ôn tập Toán 11 GK1 CTST Xem thử Đề cương ôn tập Toán 11 GK1 CD
Chỉ từ 80k mua trọn bộ đề cương ôn tập Toán 11 Giữa kì 1 theo cấu trúc mới bản word có lời giải chi tiết, trình bày đẹp mắt, dễ dàng chỉnh sửa:
A. Tóm tắt nội dung một số câu trong Đề cương Giữa kì 1 Toán 11
I. HÌNH THỨC KIỂM TRA:
- Trắc nghiệm khách quan 70% gồm 3 dạng thức:
Phần I. Trắc nghiệm nhiều phương án lựa chọn (12 câu: 0,25 điểm/câu; tổng: 3,0 điểm);
Phần II. Trắc nghiệm đúng/sai (2 câu: 1,0 điểm/câu; tổng: 2,0 điểm);
Phần III. Trắc nghiệm trả lời ngắn (4 câu: 0,5 điểm/câu; tổng: 2,0 điểm).
- Tự luận 30%
II. THỜI GIAN LÀM BÀI: 90 phút. III. NỘI DUNG
1. Lý thuyết
Phần 1: Hàm số lượng giác và phương trình lượng giác.
- Giá trị lượng giác của góc lượng giác: Góc lượng giác, hệ thức Chales, đơn vị đo góc và độ dài cung tròn, độ dài cung tròn, các giá trị lượng giác của góc lượng giác, quan hệ giữa các giá trị lượng giác…
- Công thức lượng giác: công thức cộng, công thức nhân đôi, công thức biến đổi tích thành tổng, công thức biến đổi tổng thành tích.
- Hàm số lượng giác: hàm số chẵn, hàm số lẻ, hàm số tuần hoàn, đồ thị và tính chất hàm số y = sinx, y = cosx, y = tan x, y = cot x.
- Phương trình lượng giác cơ bản: công thức nghiệm, cách giải phương trình sin x = m; cos x = m, tan x = m, cot x = m.
...........................................................................................
3. Đề minh họa
PHẦN I. Trắc nghiệm nhiều phương án lựa chọn
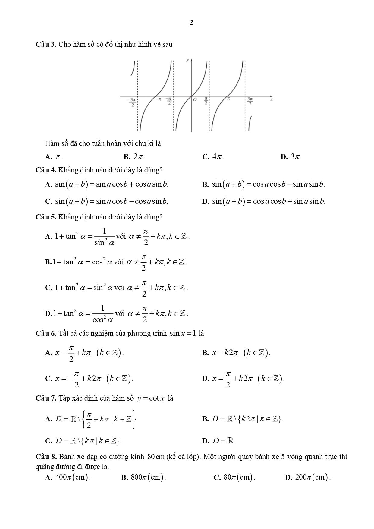
Câu 8. Bánh xe đạp có đường kính (kể cả lốp). Một người quay bánh xe 5 vòng quanh trục thì quãng đường đi được là.
А. 400pi (cm).
В. 800pi (cm).
С. 80pi (cm).
D. 200pi (cm).
PHẦN II. Trắc nghiệm đúng/sai
PHẦN III: Câu trắc nghiệm yêu cầu trả lời ngắn.
PHẦN IV. TỰ LUẬN
Câu 3. Cho tứ diện ABCD. Gọi E, F là các điểm lần lượt thuộc các cạnh AB, AC sao cho AE = 1/2BE và AF = 2CF. Gọi O là một điểm nằm trong tam giác BCD.
a) Xác định giao tuyến của hai mặt phẳng (OFF) và (ABD).
b) Xác định giao điểm (nếu có) của đường thẳng AD và mặt phẳng (OFF).
Câu 4. Cho hình chóp S.ABCD có đáy là hình chữ nhật. Gọi M, N, P lần lượt là trung điểm của SB, BC và CD.
a) Tìm giao tuyến của hai mặt phẳng (SBC) và (MNP).
b) Gọi Q là giao điểm của đường thẳng SD với (MNP). Chứng minh MQ song song với BD.
...........................................................................................
B. Nội dung Đề cương giữa học kì 1 Toán 11 trường THPT Sơn Động 3 (Bắc Ninh) năm 2025–2026



