PHẦN III. Câu trắc nghiệm trả lời ngắn.Thí sinh trả lời câu 1 đến câu 6.
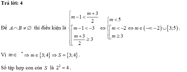
Cho các tập hợp khác rỗng \(A = \left[ {m - 1;\frac{{m + 3}}{2}} \right]\) và \(B = \left( { - \infty ; - 3} \right) \cup \left[ {3; + \infty } \right)\). Gọi \(S\) là tập hợp các giá nguyên dương của m để \(A \cap B \ne \emptyset \). Tìm số tập hợp con của \(S\).
PHẦN III. Câu trắc nghiệm trả lời ngắn.Thí sinh trả lời câu 1 đến câu 6.
Cho các tập hợp khác rỗng \(A = \left[ {m - 1;\frac{{m + 3}}{2}} \right]\) và \(B = \left( { - \infty ; - 3} \right) \cup \left[ {3; + \infty } \right)\). Gọi \(S\) là tập hợp các giá nguyên dương của m để \(A \cap B \ne \emptyset \). Tìm số tập hợp con của \(S\).
Quảng cáo
Trả lời:

Hot: 1000+ Đề thi giữa kì 2 file word cấu trúc mới 2026 Toán, Văn, Anh... lớp 1-12 (chỉ từ 60k). Tải ngay
- Trọng tâm Lí, Hóa, Sinh 10 cho cả 3 bộ KNTT, CTST và CD VietJack - Sách 2025 ( 40.000₫ )
- Trọng tâm Toán, Văn, Anh 10 cho cả 3 bộ KNTT, CTST, CD VietJack - Sách 2025 ( 13.600₫ )
- Sách lớp 10 - Combo Trọng tâm Toán, Văn, Anh và Lí, Hóa, Sinh cho cả 3 bộ KNTT, CD, CTST VietJack ( 75.000₫ )
- Sách lớp 11 - Trọng tâm Toán, Lý, Hóa, Sử, Địa lớp 11 3 bộ sách KNTT, CTST, CD VietJack ( 52.000₫ )
CÂU HỎI HOT CÙNG CHỦ ĐỀ
Lời giải
Xét như hình vẽ, với \(AB = 216\;{\rm{m}},AC = 218\;{\rm{m}},\widehat A = 30^\circ \).

Áp dụng Định lí côsin, ta có:
\(B{C^2} = A{B^2} + A{C^2} - 2.AB.AC.\cos A\)\( = {216^2} + {218^2} - 2.216.218.\cos 30^\circ \approx 12621,19\)
Vậy khoảng cách giữa 2 diều là khoảng 112,34 m.
Câu 2
A. \(m = 4\).
Lời giải
Đáp án đúng là: B
Điều kiện \(m - 1 < 5 \Leftrightarrow m < 6\).
Để \(A\backslash B = \emptyset \) thì \(A \subset B\)\( \Leftrightarrow m - 1 \ge 3 \Leftrightarrow m \ge 4\).
Vậy \(4 \le m < 6\).
Câu 3
A. \(\left\{ \begin{array}{l} - 2x \le 0\\5x - 2y < 0\end{array} \right.\) .
Lời giải
Bạn cần đăng ký gói VIP ( giá chỉ từ 199K ) để làm bài, xem đáp án và lời giải chi tiết không giới hạn.
Câu 4
A. \(S = \frac{1}{2}bc\sin A\,.\)
Lời giải
Bạn cần đăng ký gói VIP ( giá chỉ từ 199K ) để làm bài, xem đáp án và lời giải chi tiết không giới hạn.
Lời giải
Bạn cần đăng ký gói VIP ( giá chỉ từ 199K ) để làm bài, xem đáp án và lời giải chi tiết không giới hạn.
Câu 6
A. \(\cos \left( {A + C} \right) = \cos B\).
B. \(\tan \left( {A + C} \right) = - \tan B\).
Lời giải
Bạn cần đăng ký gói VIP ( giá chỉ từ 199K ) để làm bài, xem đáp án và lời giải chi tiết không giới hạn.
Câu 7
A. Buồn ngủ quá!
B. Hình thoi có hai đường chéo vuông góc với nhau.
C. 8 là số chính phương
Lời giải
Bạn cần đăng ký gói VIP ( giá chỉ từ 199K ) để làm bài, xem đáp án và lời giải chi tiết không giới hạn.
