a) Cho hình vuông \(\left( {{C_1}} \right)\) có cạnh bằng \(a\). Người ta chia mỗi cạnh của hình vuông thành bốn phần bằng nhau và nối các điểm chia một cách thích hợp để có hình vuông \(\left( {{C_2}} \right)\)(Hình vẽ).
Từ hình vuông \(\left( {{C_2}} \right)\) lại tiếp tục làm như trên ta nhận được dãy các hình vuông \({C_1}\),\({C_2}\), \({C_3}\),., \({C_n}\)... Gọi \({S_i}\) là diện tích của hình vuông \({C_i}\left( {i \in \left\{ {1,2,3...} \right\}} \right)\). Đặt \(T = {S_1} + {S_2} + {S_3} + ... + {S_n} + ...\). Biết \(T = \frac{{32}}{3}\), tính \(a\)?
b) Đầu năm \(2022\) thầy Thu mua một chiếc ô tô \(5\) chỗ giá \(700\) triệu đồng để đi làm .
Trung bình sau mỗi tháng sử dụng, giá trị còn lại của ô tô giảm đi \(0,4{\rm{\% }}\) (so với tháng trước đó). Biết rằng mỗi tháng thầy làm ra được \(18\) triệu đồng (số tiền làm ra mỗi tháng không đổi). Hỏi sau \(3\) năm tổng số tiền (bao gồm giá tiền xe ô tô và tổng số tiền thầy Thu làm ra) thầy Thu có được là bao nhiêu?
a) Cho hình vuông \(\left( {{C_1}} \right)\) có cạnh bằng \(a\). Người ta chia mỗi cạnh của hình vuông thành bốn phần bằng nhau và nối các điểm chia một cách thích hợp để có hình vuông \(\left( {{C_2}} \right)\)(Hình vẽ).

Từ hình vuông \(\left( {{C_2}} \right)\) lại tiếp tục làm như trên ta nhận được dãy các hình vuông \({C_1}\),\({C_2}\), \({C_3}\),., \({C_n}\)... Gọi \({S_i}\) là diện tích của hình vuông \({C_i}\left( {i \in \left\{ {1,2,3...} \right\}} \right)\). Đặt \(T = {S_1} + {S_2} + {S_3} + ... + {S_n} + ...\). Biết \(T = \frac{{32}}{3}\), tính \(a\)?
b) Đầu năm \(2022\) thầy Thu mua một chiếc ô tô \(5\) chỗ giá \(700\) triệu đồng để đi làm .
Trung bình sau mỗi tháng sử dụng, giá trị còn lại của ô tô giảm đi \(0,4{\rm{\% }}\) (so với tháng trước đó). Biết rằng mỗi tháng thầy làm ra được \(18\) triệu đồng (số tiền làm ra mỗi tháng không đổi). Hỏi sau \(3\) năm tổng số tiền (bao gồm giá tiền xe ô tô và tổng số tiền thầy Thu làm ra) thầy Thu có được là bao nhiêu?
Quảng cáo
Trả lời:
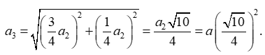
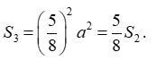
a) Ta có:
\({s_1} = {a^2}\), Cạnh của hình vuông là: .
Do đó diện tích .
Cạnh của hình vuông (C3) là: 
Do đó diện tích 
Tương tự ta có :\({s_1},{s_2},...,{s_n},...\)Lập thành csn lùi vô hạn có số hạng đầu là :\({s_1} = {a^2}\), công bội \(q = \frac{5}{8}\)
Vậy: \(T = {s_1} + {s_2} + {s_3} + ... + {s_n} + ... = \frac{{{s_1}}}{{1 - q}} = \frac{{{a^2}}}{{1 - \frac{5}{8}}} = \frac{{8{a^2}}}{3} = \frac{{32}}{3} \Leftrightarrow a = 2\)
b) Sau \(1\) tháng giá trị của ô tô còn lại là:
\[{u_1}\; = {\rm{ 7}}00{\rm{ }}--{\rm{ 7}}00.0,4\% {\rm{ }} = {\rm{ 7}}00.\left( {1{\rm{ }}--{\rm{ 0,}}4\% } \right){\rm{ }}\](triệu đồng).
Sau \(2\) tháng giá trị của ô tô còn lại là:
\[{u_2}\; = {\rm{ 7}}00.\left( {1{\rm{ }}--{\rm{ 0,}}4\% } \right){\rm{ }}--{\rm{ 7}}00.\left( {1{\rm{ }}--{\rm{ 0,}}4\% } \right).0,4\% {\rm{ }} = {\rm{ 7}}00.{\left( {1{\rm{ }}--{\rm{ 0,}}4\% } \right)^2}\;\] (triệu đồng).
Sau \(3\) tháng giá trị của ô tô còn lại là:
\[{u_3}\; = {\rm{ 7}}00.{\left( {1{\rm{ }}--{\rm{ 0,}}4\% } \right)^2}{\rm{ }}--{\rm{ 7}}00.{\left( {1{\rm{ }}--{\rm{ 0,}}4\% } \right)^2}.0,4\% {\rm{ }} = {\rm{ 7}}00.{\left( {1{\rm{ }}--{\rm{ 0,}}4\% } \right)^3}\;\](triệu đồng).
Gọi \({u_n}\) là giá trị của ô tô sau \(n\) tháng sử dụng.
Dãy số \(\left( {{u_n}} \right)\) tạo thành một cấp số nhân với số hạng đầu là giá trị đầu của ô tô là\[{u_1}\; = {\rm{7}}00.\left( {1{\rm{ }}--{\rm{ 0,}}4\% } \right){\rm{ }}\]triệu đồng và công bội \[q = 1{\rm{ }}--{\rm{ 0,}}4\% {\rm{ }}\].
Khi đó công thức tổng quát để tính \[{u_n}\; = {\rm{7}}00.{\left( {1{\rm{ }}--{\rm{ 0,}}4\% } \right)^n}{\rm{ }}\].
Sau \(3\) năm sử dụng giá trị của ô tô còn lại là:\[{u_{36}}\; = {\rm{ 7}}00.{\left( {1{\rm{ }}--{\rm{ 0,}}4\% } \right)^{36}}\; \approx {\rm{ 605,95}}\] (triệu đồng).
Sau \(3\) năm thầy Thu làm ra \(18.36 = 648\) (triệu đồng).
Sau \(3\) năm tổng số tiền (bao gồm giá tiền xe ô tô và tổng số tiền thầy Thu làm ra) thầy Thu có được là \(648 + 605,95 = 1253,95\)(triệu đồng).
Hot: 1000+ Đề thi cuối kì 1 file word cấu trúc mới 2025 Toán, Văn, Anh... lớp 1-12 (chỉ từ 60k). Tải ngay
- Trọng tâm Hóa học 11 dùng cho cả 3 bộ sách Kết nối, Cánh diều, Chân trời sáng tạo VietJack - Sách 2025 ( 58.000₫ )
- Sách - Sổ tay kiến thức trọng tâm Vật lí 11 VietJack - Sách 2025 theo chương trình mới cho 2k8 ( 45.000₫ )
- Sách lớp 11 - Trọng tâm Toán, Lý, Hóa, Sử, Địa lớp 11 3 bộ sách KNTT, CTST, CD VietJack ( 52.000₫ )
- Sách lớp 10 - Combo Trọng tâm Toán, Văn, Anh và Lí, Hóa, Sinh cho cả 3 bộ KNTT, CD, CTST VietJack ( 75.000₫ )
CÂU HỎI HOT CÙNG CHỦ ĐỀ
Câu 1
Lời giải
Chọn A
Ta xác định được \(3\) mặt phẳng là: \(\left( {a,b} \right)\); \(\left( {B,a} \right)\); \(\left( {B,b} \right)\).
Câu 2
Lời giải
Chọn C

Ta có: \[\left( {AA'B'} \right) \equiv \left( {ABB'A'} \right)\].
Gọi \[N\] là trung điểm của \[AB\]\[ \Rightarrow MN\parallel AB\].
Vậy \[N\] là hình chiếu chiếu song song của điểm \(M\) lên \(\left( {AA'B'} \right)\) theo phương chiếu \(CB\) .
Câu 3
Lời giải
Bạn cần đăng ký gói VIP ( giá chỉ từ 199K ) để làm bài, xem đáp án và lời giải chi tiết không giới hạn.
Câu 4
Lời giải
Bạn cần đăng ký gói VIP ( giá chỉ từ 199K ) để làm bài, xem đáp án và lời giải chi tiết không giới hạn.
Câu 5
Lời giải
Bạn cần đăng ký gói VIP ( giá chỉ từ 199K ) để làm bài, xem đáp án và lời giải chi tiết không giới hạn.
Câu 6
Lời giải
Bạn cần đăng ký gói VIP ( giá chỉ từ 199K ) để làm bài, xem đáp án và lời giải chi tiết không giới hạn.

