Ở một thị xã, tỉ lệ mắc căn bệnh M là 22%. Chính quyền thị xã đó muốn biết danh sách những người bị mắc bệnh nên đã tổ chức xét nghiệm cho toàn bộ người dân. Tuy nhiên bộ “test” được sử dụng trong phương pháp xét nghiệm này có những sai sót nhất định:
Nếu một người không bị bệnh thì xác suất bộ “test” cho ra kết quả dương tính là 10%.
Nếu bộ “test” cho ra kết quả dương tính thì xác suất bị bệnh là 70%.
Nếu một người không bị bệnh thì xác suất bộ “test” cho ra kết quả chính xác là bao nhiêu?
Ở một thị xã, tỉ lệ mắc căn bệnh M là 22%. Chính quyền thị xã đó muốn biết danh sách những người bị mắc bệnh nên đã tổ chức xét nghiệm cho toàn bộ người dân. Tuy nhiên bộ “test” được sử dụng trong phương pháp xét nghiệm này có những sai sót nhất định:
Nếu một người không bị bệnh thì xác suất bộ “test” cho ra kết quả dương tính là 10%.
Nếu bộ “test” cho ra kết quả dương tính thì xác suất bị bệnh là 70%.
Nếu một người không bị bệnh thì xác suất bộ “test” cho ra kết quả chính xác là bao nhiêu?
Quảng cáo
Trả lời:
Đáp án đúng là D
Phương pháp giải
Công thức xác suất.
Lời giải
Gọi \(A\) là biến cố "Bị mắc bệnh M", B là biến cố "Bộ test cho kết quả dương tính".
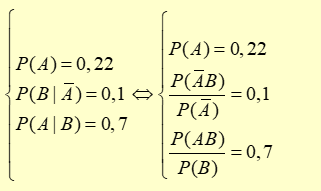
Do xác suất bị mắc bệnh M là \(22\% \) nên \(P(A) = 0,22\).
Từ dữ kiện "Nếu một người không bị bệnh thì xác suất bộ test cho ra kết quả dương tính là \(10\% \) "suy ra \(P(B\mid \bar A) = 0,1\).
"Xác suất bộ test cho kết quả âm tính khi người đó không bị bệnh", tức là \(P(\bar B\mid \bar A)\).
Ta có \(P(\bar B\mid \bar A) = 1 - P(B\mid \bar A) = 1 - 0,1 = 0,9 = 90\% \)
Câu hỏi cùng đoạn
Câu 2:
Xác suất để bộ “test” cho ra kết quả dương tính khi xét nghiệm người bị bệnh là:
Xác suất để bộ “test” cho ra kết quả dương tính khi xét nghiệm người bị bệnh là:
Đáp án đúng là B
Phương pháp giải
Công thức xác suất.
Lời giải
Từ dữ kiện "Nếu bộ test cho ra kết quả dương tính thì xác suất bị bệnh là \(70\% \)" suy ra \(P(A\mid B) = 0,7\).
Từ ba dữ kiện trên, ta có hệ phương trình:

\( \Leftrightarrow \left\{ \begin{array}{l}P(A) = 0,22\\P(\bar AB) = 0,1.P(\bar A) = 0,1.0,78 = 0,078\\\frac{{P(B) - P(\bar AB)}}{{P(B)}} = 0,7\end{array} \right.\)
\( \Leftrightarrow \left\{ {\begin{array}{*{20}{l}}{P(A) = 0,22}\\{P(\bar AB) = 0,078}\\{1 - \frac{{0,078}}{{P(B)}} = 0,7}\end{array} \Leftrightarrow \left\{ {\begin{array}{*{20}{l}}{P(A) = 0,22}\\{P(\bar AB) = 0,078}\\{P(B) = 0,26}\end{array}} \right.} \right.\)
Xác suất cần tính chính là
\(P(B\mid A) = \frac{{P(AB)}}{{P(A)}} = \frac{{P(B) - P(\bar AB)}}{{P(A)}} = \frac{{0,26 - 0,078}}{{0,22}} = 0,8273 = 82,73\% \)
Câu 3:
Xác suất chẩn đoán đúng của bộ “test” là:
Đáp án đúng là A
Phương pháp giải
Công thức xác suất.
Lời giải
“Xác suất <một người bị bệnh và xét nghiệm ra kết quả dương tính> hoặc <một người không bị bệnh và xét nghiệm ra kết quả âm tính>”.
Khi đó, xác suất cần tính là
\(P(AB + \bar A\bar B) = P(AB) + P(\bar A\bar B) = P(B) - P(\bar AB) + P(\bar A) - P(\bar AB)\)
\( = 0,26 - 0,078 + 0,78 - 0,078 = 0,884 = 88,4\% \)
Hot: 1000+ Đề thi giữa kì 2 file word cấu trúc mới 2026 Toán, Văn, Anh... lớp 1-12 (chỉ từ 60k). Tải ngay
- Tuyển tập 30 đề thi đánh giá năng lực Đại học Quốc gia TP Hồ Chí Minh (2 cuốn) ( 140.000₫ )
- Tuyển tập 30 đề thi đánh giá năng lực Đại học Quốc gia Hà Nội 2025 (Tập 1) ( 39.000₫ )
- Tuyển tập 15 đề thi Đánh giá tư duy Đại học Bách Khoa Hà Nội 2025 (Tập 1) ( 39.000₫ )
- Tuyển tập 30 đề thi đánh giá năng lực Đại học Quốc gia Hà Nội, TP Hồ Chí Minh (2 cuốn) ( 150.000₫ )
CÂU HỎI HOT CÙNG CHỦ ĐỀ
Lời giải
Đáp án đúng là B
Phương pháp giải
+ Tính ab/ab -> ab = ?
+ Tính f khi biết ab
=> Tính tỉ lệ các kiểu hình còn lại
Ruồi giấm đực không có HVG
Lời giải
Ruồi cái thân đen, cánh cụt, mắt đỏ:
\(A - bb{X^D}{X^ - } = 10,25\% \Rightarrow A - bb = \frac{{0,1025}}{{0,5{X^D}{X^ - }}} = 0,205\)
\( \Rightarrow \frac{{ab}}{{ab}} = 0,045 \to \underline {ab} \)♀\( = 0,09 = \frac{f}{2}\)(vì bên đực không có HVG nên cho ab = 0,5)
⇒ tần số HVG = 18% ⇒ A−B− = 0,545
I đúng, số kiểu gene tối đa: 7 × 4 = 28; số kiểu hình = 4 × 3= 12.
II sai, tần số HVG = 18%.
III sai, A-B-XDY = 0,545 0,25 XDY = 0,13625.
IV đúng, số cá thể cái dị hợp tử về 1 trong 3 cặp gene:
(0,41Ab + 0,41aB) × (0,5AB + 0,5ab) × 0,25XDXD + (0,09AB × 0,5AB + 0,09ab × 0,5ab) × 0,25XDXd = 0,2275
Câu 2
Lời giải
Đáp án đúng là D
Phương pháp giải
Áp suất phân tử chất khí: \(p = \frac{1}{3}\rho \overline {{v^2}} \)
Lời giải
Áp suất mà khí đó tác dụng lên thành bình là:
\(p = \frac{1}{3}.\frac{m}{V}\overline {{v^2}} = \frac{1}{3}\rho \overline {{v^2}} \)
\[ \to p = \frac{1}{3}{.6.10^{ - 2}}{.500^2} = {5.10^3}\,(Pa)\]
Lời giải
Bạn cần đăng ký gói VIP ( giá chỉ từ 199K ) để làm bài, xem đáp án và lời giải chi tiết không giới hạn.
Câu 4
Lời giải
Bạn cần đăng ký gói VIP ( giá chỉ từ 199K ) để làm bài, xem đáp án và lời giải chi tiết không giới hạn.
Câu 5
Lời giải
Bạn cần đăng ký gói VIP ( giá chỉ từ 199K ) để làm bài, xem đáp án và lời giải chi tiết không giới hạn.
Câu 6
Lời giải
Bạn cần đăng ký gói VIP ( giá chỉ từ 199K ) để làm bài, xem đáp án và lời giải chi tiết không giới hạn.
Câu 7
Lời giải
Bạn cần đăng ký gói VIP ( giá chỉ từ 199K ) để làm bài, xem đáp án và lời giải chi tiết không giới hạn.

