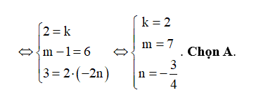
Trong không gian tọa độ \[Oxyz\], cho các vectơ \(\vec a = \left( {2{\mkern 1mu} ;{\mkern 1mu} m - 1{\mkern 1mu} ;{\mkern 1mu} 3} \right)\), \(\vec b = \left( {1{\mkern 1mu} ;{\mkern 1mu} 3{\mkern 1mu} ;{\mkern 1mu} - 2n} \right)\). Tìm \(m\), \(n\) để các vectơ \(\overrightarrow a ,\,\,\overrightarrow b \) cùng phương.
Quảng cáo
Trả lời:
Các vectơ \(\overrightarrow a ,\,\,\overrightarrow b \) cùng phương khi và chỉ khi tồn tại số thực \(k \ne 0\) sao cho \[\overrightarrow a = k\overrightarrow b \]


Hot: 1000+ Đề thi giữa kì 2 file word cấu trúc mới 2026 Toán, Văn, Anh... lớp 1-12 (chỉ từ 60k). Tải ngay
- Tuyển tập 30 đề thi đánh giá năng lực Đại học Quốc gia Hà Nội 2025 (Tập 1) ( 39.000₫ )
- Tuyển tập 15 đề thi Đánh giá tư duy Đại học Bách Khoa Hà Nội 2025 (Tập 1) ( 39.000₫ )
- Tuyển tập 30 đề thi đánh giá năng lực Đại học Quốc gia TP Hồ Chí Minh (2 cuốn) ( 140.000₫ )
- Tuyển tập 30 đề thi đánh giá năng lực Đại học Quốc gia Hà Nội, TP Hồ Chí Minh (2 cuốn) ( 150.000₫ )
CÂU HỎI HOT CÙNG CHỦ ĐỀ
Câu 1
Lời giải
Gọi A là biến cố “gọi được sinh viên nữ”.
Gọi B là biến cố “gọi được sinh viên đạt điểm giỏi môn xác suất thống kê”.
Ta đi tính \[P\left( {B|A} \right)\]. Ta có: \[P\left( A \right) = \frac{{55}}{{95}}\]; \[P\left( {A \cap B} \right) = \frac{{11}}{{95}}\].
Do đó: \[P\left( {B|A} \right) = \frac{{P\left( {A \cap B} \right)}}{{P\left( A \right)}} = \frac{{11}}{{95}}:\frac{{55}}{{95}} = \frac{{11}}{{55}} = \frac{1}{5}\]. Chọn A.
Lời giải
Thay \(t = 2\) phút \( = \frac{1}{{30}}\) giờ, \({T_0} = 96\,,\,T = 90\,,\,S = 24\) ta có \(\frac{1}{{30}}k = \ln \frac{{90 - 24}}{{96 - 24}}\).
Do đó \(k = 30\ln \frac{{11}}{{12}}\).
Sau 10 phút \( = \frac{1}{6}\) giờ, ta có \(\frac{1}{6}k = \ln \frac{{T - 24}}{{96 - 24}}\) hay \(5\ln \frac{{11}}{{12}} = \ln \frac{{T - 24}}{{72}}\). Do đó \(\frac{{T - 24}}{{72}} = {\left( {\frac{{11}}{{12}}} \right)^5}\).
Suy ra \(T = 72 \cdot {\left( {\frac{{11}}{{12}}} \right)^5} + 24 \approx 70,6^\circ {\rm{C}}\). Vậy nhiệt độ của cốc trà sau 10 phút khoảng \(70,6^\circ {\rm{C}}\).
Đáp án cần nhập là: \(70,6\).
Câu 3
Lời giải
Bạn cần đăng ký gói VIP ( giá chỉ từ 199K ) để làm bài, xem đáp án và lời giải chi tiết không giới hạn.
Câu 4
Lời giải
Bạn cần đăng ký gói VIP ( giá chỉ từ 199K ) để làm bài, xem đáp án và lời giải chi tiết không giới hạn.
Lời giải
Bạn cần đăng ký gói VIP ( giá chỉ từ 199K ) để làm bài, xem đáp án và lời giải chi tiết không giới hạn.
Câu 6
Lời giải
Bạn cần đăng ký gói VIP ( giá chỉ từ 199K ) để làm bài, xem đáp án và lời giải chi tiết không giới hạn.
Lời giải
Bạn cần đăng ký gói VIP ( giá chỉ từ 199K ) để làm bài, xem đáp án và lời giải chi tiết không giới hạn.


