Ở người, bệnh bạch tạng do gene lặn a nằm trên NST thường quy định, bệnh máu khó đông do gene lặn b nằm trên NST giới tính X quy định. Xét một cặp vợ chồng, bên phía người vợ có em trai bị máu khó đông, mẹ bị bạch tạng. Bên phía người chồng có chị gái bị máu khó đông và bị bạch tạng. Những người khác trong gia đình đều không bị hai bệnh này. Cặp vợ chồng này sinh được 2 người con gái bình thường, xác suất cả 2 người con gái này đều mang allele bệnh về cả 2 bệnh nói trên là bao nhiêu (nhập đáp án vào ô trống)?
Đáp án ______
Quảng cáo
Trả lời:
Xét quan hệ huyết thống, xác định kiểu gene của vợ chồng:
- Bên phía người vợ:
+ Mẹ bị bệnh bạch tạng nên vợ có kiểu gene Aa.
+ Em trai bị bệnh máu khó đông (XbY) → Kiểu gene của bố mẹ người vợ về tính trạng bệnh máu khó đông: XBXb × XBY → Kiểu gene của người vợ: \(\frac{1}{2}{X^{\rm{B}}}{X^{\rm{B}}}:\frac{1}{2}{X^{\rm{B}}}{{\rm{X}}^{\rm{b}}}\).
- Bên phía người chồng:
+ Chị gái bị bệnh bạch tạng → Kiểu gene của bố mẹ người chồng về tính trạng bệnh bạch tạng là: Aa × Aa → Kiểu gene của người chồng: \(\frac{1}{3}{\rm{AA}}:\frac{2}{3}{\rm{Aa}}\).
+ Người chồng không bị bệnh máu khó đông nên kiểu gene của chồng sẽ là \({X^B}Y\)
Xét xác suất 2 đứa con bình thường mang allele gây bệnh bạch tạng là:
TH1: \(\left( {\frac{1}{3}{\rm{AA}} \times {\rm{Aa}}} \right) \Rightarrow \)Xác suất 2 đứa con bình thường mang allele gây bệnh bạch tạng là:
\(\frac{1}{3} \times {\left( {\frac{1}{2}} \right)^2} = \frac{1}{{12}}.\)
TH2: \(\left( {\frac{2}{3}{\rm{Aa}} \times {\rm{Aa}}} \right) \Rightarrow \)Xác suất 2 đứa con bình thường mang allele gây bệnh bạch tạng là:

→ Xác suất 2 đứa con bình thường mang allele gây bệnh bạch tạng là: \(\frac{1}{{12}} + \frac{8}{{27}} = \frac{{41}}{{108}}.\)
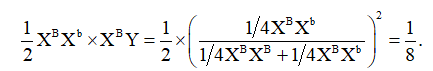
Xét xác suất 2 đứa con gái bình thường mang allele gây bệnh máu khó đông:

Vậy xác suất 2 đứa con gái của cặp vợ chồng trên đều mang allele gây bệnh về cả hai bệnh trên sẽ là:\(\frac{{41}}{{108}} \times \frac{1}{8} = \frac{{41}}{{864}} \approx 0,047.\) Đáp án: 0,047.
Hot: 1000+ Đề thi giữa kì 2 file word cấu trúc mới 2026 Toán, Văn, Anh... lớp 1-12 (chỉ từ 60k). Tải ngay
- Tuyển tập 15 đề thi Đánh giá tư duy Đại học Bách Khoa Hà Nội 2025 (Tập 1) ( 39.000₫ )
- Tuyển tập 30 đề thi đánh giá năng lực Đại học Quốc gia TP Hồ Chí Minh (2 cuốn) ( 140.000₫ )
- Tuyển tập 30 đề thi đánh giá năng lực Đại học Quốc gia Hà Nội 2025 (Tập 1) ( 39.000₫ )
- Tuyển tập 30 đề thi đánh giá năng lực Đại học Quốc gia Hà Nội, TP Hồ Chí Minh (2 cuốn) ( 150.000₫ )
CÂU HỎI HOT CÙNG CHỦ ĐỀ
Câu 1
Lời giải
Hội nghị Diên Hồng của nhà Trần đã thể hiện: sự đoàn kết, nhất trí đồng lòng đánh giặc của triều đình và nhân dân; đồng thời cho thấy cuộc kháng chiến chống quân Nguyên của nhà Trần là một cuộc chiến mang tính nhân dân sâu sắc. Chọn B.
Câu 2
Lời giải
Ta có \(f'\left( x \right) = \frac{1}{{x - 1}}\)\( \Rightarrow f\left( x \right) = \int {\frac{1}{{x - 1}}} \;{\rm{d}}x\) \[ = \ln \left| {x - 1} \right| + C = \left\{ \begin{array}{l}\ln \left( {x - 1} \right) + {C_1}\,\,{\rm{khi}}\,\,x > 1\\\ln \left( {1 - x} \right) + {C_2}\,\,{\rm{khi}}\,\,x < 1\end{array} \right.\].
Mặt khác \(\left\{ \begin{array}{l}f\left( 0 \right) = 2022\\f\left( 2 \right) = 2023\end{array} \right. \Leftrightarrow \left\{ \begin{array}{l}{C_2} = 2022\\{C_1} = 2023\end{array} \right..\) Vậy \[f\left( x \right) = \left\{ \begin{array}{l}\ln \left( {x - 1} \right) + 2023\,\,{\rm{khi}}\,\,x > 1\\\ln \left( {1 - x} \right) + 2022\,\,{\rm{khi}}\,\,x < 1\end{array} \right.\].
Do đó \(S = f\left( 3 \right) - f\left( { - 1} \right) = \ln 2 + 2023 - \ln 2 - 2022 = 1.\) Chọn C.
Câu 3
Lời giải
Bạn cần đăng ký gói VIP ( giá chỉ từ 199K ) để làm bài, xem đáp án và lời giải chi tiết không giới hạn.
Câu 4
A. made.
B. make.
Lời giải
Bạn cần đăng ký gói VIP ( giá chỉ từ 199K ) để làm bài, xem đáp án và lời giải chi tiết không giới hạn.
Lời giải
Bạn cần đăng ký gói VIP ( giá chỉ từ 199K ) để làm bài, xem đáp án và lời giải chi tiết không giới hạn.
Câu 6
Lời giải
Bạn cần đăng ký gói VIP ( giá chỉ từ 199K ) để làm bài, xem đáp án và lời giải chi tiết không giới hạn.
Câu 7
Lời giải
Bạn cần đăng ký gói VIP ( giá chỉ từ 199K ) để làm bài, xem đáp án và lời giải chi tiết không giới hạn.
