(0,5 điểm) Cho đa thức \(P\left( x \right) = a{x^2} + bx + c\) có \(x = - 2\) là một nghiệm.
Xác định \(a\), \(b\), \(c\) biết số \(a\) lớn hơn số \(c\) năm đơn vị và đa thức \(P\left( x \right)\) chia hết cho \(x - 2\).\[\]
Câu hỏi trong đề: Bộ 10 đề thi cuối kì 2 Toán 7 Chân trời sáng tạo có đáp án !!
Quảng cáo
Trả lời:
• Do số \(a\) lớn hơn số \(c\) năm đơn vị nên ta có \(a = c + 5\).
• Theo đề, ta có \(x = - 2\) là một nghiệm của đa thức \(P\left( x \right)\).
Suy ra \(P\left( { - 2} \right) = 0\).
Do đó \(4a - 2b + c = 0\).
Suy ra \(4a + c = 2b\,\,\,\,\left( 1 \right)\)
• Ta có đa thức \(P\left( x \right)\) chia hết cho \(x - 2\) \(\left( * \right)\)
Nên \(P\left( x \right) = \left( {x - 2} \right).Q\left( x \right)\) với \(Q\left( x \right)\) là thương của phép chia đa thức \(P\left( x \right)\) cho đa thức \(x - 2\).
Khi đó \(P\left( 2 \right) = \left( {2 - 2} \right).Q\left( 2 \right) = 0\)
Do đó \(4a + 2b + c = 0\).
Suy ra \(4a + c = - 2b\,\,\,\,\left( 2 \right)\)
Từ \(\left( 1 \right),\left( 2 \right)\) suy ra \(2b = - 2b\).
Do đó \(4b = 0\), nên \(b = 0\).
Thế \(b = 0\) và \(a = c + 5\) vào \(\left( 1 \right)\), ta được \(4\left( {c + 5} \right) + c = 0\).
Hay \(4c + 20 + c = 0\).
Suy ra \(5c = - 20\), nên \(c = - 4\).
Với \(a = c + 5\), ta có \(a = - 4 + 5 = 1\).
Vậy \(a = 1\), \(b = 0\), \(c = - 4\) thỏa mãn yêu cầu bài toán.
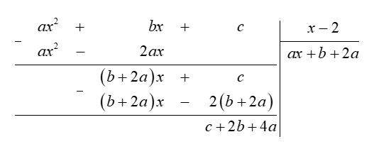
\(\left( * \right)\) Lưu ý: Với dữ kiện đa thức \(P\left( x \right)\) chia hết cho \(x - 2\), ta có thể thực hiện đặt tính chia đa thức và vẫn suy ra được điều kiện \(\left( 2 \right)\) như sau:

Khi đó, để \(P\left( x \right)\) chia hết cho \(x - 2\) thì \(c + 2b + 4a = 0\).
Suy ra \(4a + c = - 2b\,\,\,\,\left( 2 \right)\).
Hot: 1000+ Đề thi cuối kì 2 file word cấu trúc mới 2026 Toán, Văn, Anh... lớp 1-12 (chỉ từ 60k). Tải ngay
CÂU HỎI HOT CÙNG CHỦ ĐỀ
Lời giải

a) Ta có \[AB = AC\] (do \(\Delta ABC\) cân tại \(A\)) và \[BD = CE\] (giả thiết)
Suy ra \(AB - BD = AC - CE\) hay \(AD = AE\).
Xét \(\Delta ABE\) và \(\Delta ACD\) có:
\[AB = AC\] (chứng minh trên);
\(\widehat {BAC}\) là góc chung;
\[AD = AE\] (chứng minh trên).
Do đó \[\Delta ABE = \Delta ACD\,\,\left( {{\rm{c}}{\rm{.g}}{\rm{.c}}} \right)\].
b) Từ \[\Delta ABE = \Delta ACD\] suy ra \(\widehat {ABE} = \widehat {ACD}\) (hai góc tương ứng)
Mà \(\widehat {ABC} = \widehat {ACB}\) (do \(\Delta ABC\) cân tại \(A\))
Suy ra \(\widehat {IBC} = \widehat {ICB}\)
Tam giác \[IBC\] có \(\widehat {IBC} = \widehat {ICB}\) nên là tam giác cân tại \(I\).
Do đó \[IB = IC\].
Xét \(\Delta ABI\) và \(\Delta ACI\) có:
\[AB = AC\] (chứng minh trên);
\[AI\] là cạnh chung;
\[IB = IC\] (chứng minh trên).
Do đó \[\Delta ABI = \Delta ACI\,\,\left( {{\rm{c}}{\rm{.c}}{\rm{.c}}} \right)\]
Suy ra \(\widehat {BAI} = \widehat {CAI}\) (hai góc tương ứng).
Nên \[AI\] là tia phân giác của \(\widehat {BAC}\).
c) Xét \(\Delta ADE\) có \[AD = AE\] nên \(\Delta ADE\) cân tại \(A\), do đó \(\widehat {ADE} = \widehat {AED}\).
Mà \(\widehat {DAE} + \widehat {ADE} + \widehat {AED} = 180^\circ \) (tổng ba góc trong một tam giác)
Suy ra \(\widehat {ADE} = \widehat {AED} = \frac{{180^\circ - \widehat {DAE}}}{2}\,\,\,\,\,\left( 1 \right)\).
Tương tự với \(\Delta ABC\) cân tại \(A\) ta có \(\widehat {ABC} = \widehat {ACB} = \frac{{180^\circ - \widehat {BAC}}}{2}\,\,\,\,\,\left( 2 \right)\)
Từ \(\left( 1 \right)\) và \(\left( 2 \right)\) suy ra \(\widehat {ADE} = \widehat {ABC}\)
Mà hai góc này ở vị trí đồng vị nên \(DE\,{\rm{//}}\,BC\).
Suy ra \(\widehat {DEB} = \widehat {EBC}\) (hai góc so le trong) \(\left( 3 \right)\)
\(\Delta BDE\) có \[BD = DE\] nên là tam giác cân tại \(D\), suy ra \(\widehat {DBE} = \widehat {DEB}\,\,\,\,\,\left( 4 \right)\)
Từ \(\left( 3 \right)\) và \(\left( 4 \right)\) suy ra \(\widehat {DBE} = \widehat {EBC}\)
Khi đó \[BE\] là đường phân giác của \(\widehat {ABC}\).
Tương tự, với \[DE = EC\] ta cũng chứng minh được \[CD\] là đường phân giác của \(\widehat {ACB}\)
Xét \(\Delta ABC\) có \[BE,CD\] là hai đường phân giác của tam giác cắt nhau tại \(I\).
Suy ra \(I\) cách đều ba cạnh của \(\Delta ABC\).
Vậy để \[BD = DE = EC\] thì \[BE\] và \[CD\] là hai đường phân giác của \(\Delta ABC\), khi đó \(I\) cách đều ba cạnh của \(\Delta ABC\).
Câu 2
\(\frac{1}{x} + x + 1\);
\(x + y - 6\);
\({x^2} - x\);\(\)
\({3^2} - 3\).
Lời giải
Đáp án đúng là: D
Biểu thức \({3^2} - 3\) là biểu thức số.
Các biểu thức \(\frac{1}{x} + x + 1\); \(x + y - 6\); \({x^2} - x\) không là biểu thức số.
Lời giải
Bạn cần đăng ký gói VIP ( giá chỉ từ 250K ) để làm bài, xem đáp án và lời giải chi tiết không giới hạn.
Câu 4
A. \(\frac{{ - 1}}{3}\) và \(\frac{{ - 21}}{{63}}\);
B. \(\frac{4}{3}\) và \(\frac{3}{2}\);
C. \(\frac{4}{6}\) và \(\frac{3}{2}\);
D. \(\frac{1}{3}\) và \(\frac{{ - 1}}{3}\).
Lời giải
Bạn cần đăng ký gói VIP ( giá chỉ từ 250K ) để làm bài, xem đáp án và lời giải chi tiết không giới hạn.
Lời giải
Bạn cần đăng ký gói VIP ( giá chỉ từ 250K ) để làm bài, xem đáp án và lời giải chi tiết không giới hạn.
Lời giải
Bạn cần đăng ký gói VIP ( giá chỉ từ 250K ) để làm bài, xem đáp án và lời giải chi tiết không giới hạn.