(0,5 điểm) Tìm \(a,b\) sao cho đa thức \(A\left( x \right) = {x^3} + ax + b\) chia cho đa thức \[x + 1\] thì dư 7, chia cho đa thức \(x - 3\) thì dư \( - 5\).
Câu hỏi trong đề: Bộ 10 đề thi cuối kì 2 Toán 7 Chân trời sáng tạo có đáp án !!
Quảng cáo
Trả lời:
Cách 1:
• \(A\left( x \right)\) chia cho đa thức \(x + 1\) thì dư 7 nên ta có:
\(A\left( x \right) = \left( {x + 1} \right).Q\left( x \right) + 7\), trong đó \(Q\left( x \right)\) là thương của phép chia \(A\left( x \right)\) chia cho \(x + 1\).
Khi đó ta có \(A\left( { - 1} \right) = \left( { - 1 + 1} \right).Q\left( { - 1} \right) + 7\) hay \(A\left( { - 1} \right) = 7\).
Do đó \[{\left( { - 1} \right)^3} + a.\left( { - 1} \right) + b = 7\], suy ra \( - a + b = 8\,\,\,\,\left( 1 \right)\)
• Tương tự, \(A\left( x \right)\) chia cho đa thức \(x - 3\) thì dư \( - 5\) nên ta có: \(A\left( 3 \right) = - 5\)
Do đó \({3^3} + a.3 + b = - 5\), suy ra \(3a + b = - 32\,\,\,\,\left( 2 \right)\)
Từ \(\left( 1 \right)\) ta có \(b = a + 8\) thay vào \(\left( 2 \right)\) ta được: \(3a + \left( {a + 8} \right) = - 32\)
Suy ra \(4a = - 40\), nên \(a = - 10\).
Khi đó \(b = - 10 + 8 = - 2\).
Vậy \(a = - 10\), \(b = - 2\).
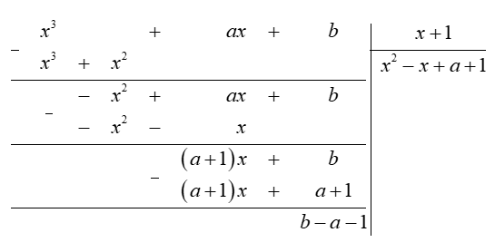
Cách 2: Thực hiện đặt tính chia đa thức:
• Thực hiện đặt tính chia đa thức \(A\left( x \right)\) cho \(x + 1\) như sau:

Để \(A\left( x \right)\) chia cho đa thức \(x + 1\) dư 7 thì \(b - a - 1 = 7\), hay \( - a + b = 8\,\,\,\left( 1 \right)\)
• Thực hiện đặt tính chia đa thức \(A\left( x \right)\) chia cho \(x - 3\) ta cũng được: \(3a + b = - 32\,\,\,\,\left( 2 \right)\)
Giải tương tự như Cách 1 ta có \(a = - 10\), \(b = - 2\).
Vậy \(a = - 10\), \(b = - 2\).
Hot: 1000+ Đề thi cuối kì 2 file word cấu trúc mới 2026 Toán, Văn, Anh... lớp 1-12 (chỉ từ 60k). Tải ngay
CÂU HỎI HOT CÙNG CHỦ ĐỀ
Lời giải

a) Xét \(\Delta ANO\) và \(\Delta BNF\) có:
\(\widehat {ANO} = \widehat {BNF} = 90^\circ \);
\(NA = NB\) (do \(N\) là trung điểm của \(AB\));
\(NO = NF\) (giả thiết).
Do đó \(\Delta ANO = \Delta BNF\) (hai cạnh góc vuông)
Suy ra \[AO = BF\] (hai cạnh tương ứng) và \(\widehat {NAO} = \widehat {NBF}\) (hai góc tương ứng).
Lại có hai góc \(\widehat {NAO}\) và \(\widehat {NBF}\) ở vị trí so le trong nên \[AO\,{\rm{//}}\,BF\].
b) Chứng minh tương tự câu a, ta có \(\Delta APO = \Delta CPE\) (hai cạnh góc vuông).
Do đó \(AO = CE\) (hai cạnh tương ứng).
Mà \[AO = BF\] (câu a) nên \(BF = CE = AO\).
Tương tự, ta cũng chứng minh được:
• \(AE = BD = CO\);
• \(AF = CD = BO\).
Mặt khác, \(O\) là giao điểm ba đường trung trực của \(\Delta ABC\) nên \(O\) cách đều ba đỉnh của tam giác, hay \(OA = OB = OC\).
Do đó \[AF = FB = BD = DC = CE = EA = OA = OB = OC\] nên hình lục giác \[AFBDCE\] có 6 cạnh bằng nhau.
c) Ta có \(\Delta APO = \Delta CPE\) (câu b) nên \(\widehat {PAO} = \widehat {PCE}\) (hai góc tương ứng).
Mà hai góc này ở vị trí so le trong nên \(AO\,{\rm{//}}\,CE\).
Lại có \(AO\,{\rm{//}}\,BF\) (câu a) nên \(BF\,{\rm{//}}\,CE\).
Suy ra \(\widehat {BFC} = \widehat {ECF}\) (hai góc so le trong).
Xét \[\Delta BCF\] và \(\Delta EFC\) có:
\(BF = EC\) (câu b);
\(\widehat {BFC} = \widehat {ECF}\) (chứng minh trên);
\(FC\) là cạnh chung.
Do đó \[\Delta BCF = \Delta EFC\,\,\left( {{\rm{c}}{\rm{.g}}{\rm{.c}}} \right)\]
Suy ra \(BC = EF\) (hai cạnh tương ứng).
Tương tự ta cũng chứng minh được \(AB = DE\) và \(AC = DF\).
Xét \(\Delta ABC\) và \(\Delta DEF\) có:
\(AB = DE;AC = DF;BC = EF\) (chứng minh trên).
Do đó \(\Delta ABC = \Delta DEF\,\,\left( {{\rm{c}}{\rm{.c}}{\rm{.c}}} \right)\).
Câu 2
\(\frac{3}{{10}}\);
\(\frac{2}{5}\);
\(\frac{7}{{10}}\);
\(\frac{3}{5}\).
Lời giải
Đáp án đúng là: D
Do chọn ngẫu nhiên một viên bi và các viên bi có cùng kích thước, khối lượng nên mỗi viên bi đều có khả năng được chọn như nhau.
Trong \(3 + 3 + 4 = 10\) viên bi được đựng trong hộp, có 6 viên vi không có màu trắng.
Vậy xác suất của biến cố “Lấy được viên bi không có màu trắng” là \(\frac{6}{{10}} = \frac{3}{5}\).
Câu 3
A. \[\frac{5}{{15}} = \frac{6}{2}\];
B. \[\frac{2}{5} = \frac{6}{{15}}\];
C. \[\frac{2}{{15}} = \frac{5}{6}\];
D. \[\frac{5}{6} = \frac{{15}}{2}\].
Lời giải
Bạn cần đăng ký gói VIP ( giá chỉ từ 250K ) để làm bài, xem đáp án và lời giải chi tiết không giới hạn.
Lời giải
Bạn cần đăng ký gói VIP ( giá chỉ từ 250K ) để làm bài, xem đáp án và lời giải chi tiết không giới hạn.
Câu 5
A. “Số được chọn là số chẵn”;
B. “Số được chọn là số nguyên tố”;
C. “Số được chọn là số chính phương”;
D. “Số được chọn là số chia hết cho 9”.
Lời giải
Bạn cần đăng ký gói VIP ( giá chỉ từ 250K ) để làm bài, xem đáp án và lời giải chi tiết không giới hạn.
Câu 6
A. \(A\): “Ngày mai trời mưa”;
B. \(B\): “Ngày mai trời không mưa và nhiều mây”;
C. \(C\): “Ngày mai trời không mưa và ít mây”;
D. \(D\): “Ngày mai trời không mưa và không có mây”.
Lời giải
Bạn cần đăng ký gói VIP ( giá chỉ từ 250K ) để làm bài, xem đáp án và lời giải chi tiết không giới hạn.