Quảng cáo
Trả lời:
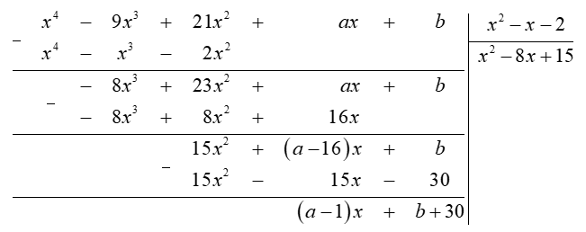
Ta thực hiện đặt tính chia đa thức như sau:

Do đó số dư của phép chia cho là .
Để phép chia trên là phép chia hết thì với mọi
Điều này xảy ra khi và chỉ khi , suy ra .
Vậy và .
Hot: 1000+ Đề thi cuối kì 2 file word cấu trúc mới 2026 Toán, Văn, Anh... lớp 1-12 (chỉ từ 60k). Tải ngay
CÂU HỎI HOT CÙNG CHỦ ĐỀ
Lời giải
a) Rút gọn và sắp xếp đa thức \(M\left( x \right)\) theo lũy thừa giảm dần của biến, ta được:
\(M\left( x \right) = 3x + {x^4} - 4{x^3} - {x^2} - 2{x^4} + 4{x^3} - x - 5\)
\( = \left( {{x^4} - 2{x^4}} \right) + \left( {4{x^3} - 4{x^3}} \right) - {x^2} + \left( {3x - x} \right) - 5\)
\( = - {x^4} - {x^2} + 2x - 5\).
Vậy \(M\left( x \right) = - {x^4} - {x^2} + 2x - 5\).
b) • \(A\left( x \right) = M\left( x \right) + N\left( x \right) = \left( { - {x^4} - {x^2} + 2x - 5} \right) + \left( {2x + 3} \right)\)
\( = - {x^4} - {x^2} + 2x - 5 + 2x + 3\)
\[ = - {x^4} - {x^2} + \left( {2x + 2x} \right) + \left( {3 - 5} \right)\]
\[ = - {x^4} - {x^2} + 4x - 2\].
• \[B\left( x \right) = N\left( x \right) - M\left( x \right) = \left( {2x + 3} \right) - \left( { - {x^4} - {x^2} + 2x - 5} \right)\]
\[ = 2x + 3 + {x^4} + {x^2} - 2x + 5\]
\[ = {x^4} + {x^2} + \left( {2x - 2x} \right) + \left( {3 + 5} \right) = {x^4} + {x^2} + 8\].
Vậy \[A\left( x \right) = - {x^4} - {x^2} + 4x - 2\]; \[B\left( x \right) = {x^4} + {x^2} + 8\].
c) Nghiệm của đa thức \(N\left( x \right)\) là
\(2x + 3 = 0\)
\(2x = - 3\)
\(x = - \frac{3}{2}\).
Vậy nghiệm của đa thức \(N\left( x \right)\) là \(x = - \frac{3}{2}\).
d) Ta có \(B\left( x \right) = {x^4} + {x^2} + 8 = {x^4} + 2 \cdot \frac{1}{2}{x^2} + \frac{1}{4} + \frac{{31}}{4}\)
\( = {\left( {{x^2} + \frac{1}{2}} \right)^2} + \frac{{31}}{4} > 0{\kern 1pt} \,\,\forall x \in \mathbb{R}\)
Do đó \(B\left( x \right)\) vô nghiệm.
Lời giải

a) Trên tia đối của tia \(MA\) lấy \(D\) sao cho \(MA = MD\) suy ra \(AM = \frac{{AD}}{2}\,\,\,\left( 1 \right)\)
• Xét \(\Delta ABM\) và \(\Delta CMD\) có
\(AM = MD\) (theo cách vẽ)
\(\widehat {AMB} = \widehat {CMD}\) (hai góc đối đỉnh)
\(BM = CM\) (gt)
Do đó \(\Delta AMB = \Delta DMC\,\,\left( {{\rm{c}}{\rm{.g}}{\rm{.c}}} \right)\)
Suy ra \(AB = CD\) (hai cạnh tương ứng)
Và \(\widehat {ABC} = \widehat {DCM}\) (hai góc tương ứng)
Do đó \(\widehat {ABC} + \widehat {ACB} = \widehat {DCM} + \widehat {ACB}\) nên \(\widehat {ACD} = 90^\circ \).
• Xét \(\Delta ABC\) và \(\Delta DCA\) có:
\(AB = CD\) (cmt)
\(\widehat {ABC} = \widehat {DCM}\) (cmt)
Cạnh \(AC\) chung
Do đó \(\Delta ABC = \Delta CDA\,\,\left( {{\rm{c}}{\rm{.g}}{\rm{.c}}} \right)\).
Suy ra \(BC = AD\,\,\,\left( 2 \right)\) (hai cạnh tương ứng).
Từ (1) và (2) suy ra \(AM = \frac{{BC}}{2}\).
b) Vì \(AM = \frac{{BC}}{2};\,\,BM = \frac{{BC}}{2}\) nên \(AM = BM\) suy ra \(\Delta ABM\,\) cân.
Nếu \(\widehat C = 30^\circ \) thì \(\widehat {ABC} = 60^\circ \) nên \(\Delta ABM\) đều.
Do đó \[AB = AM = \frac{{BC}}{2}\widehat {BAC} = \widehat {ACD}\,\,\,\left( { = 90^\circ } \right)\] (tính chất tam giác đều).
Vậy \(AB = \frac{{BC}}{2}\).
Lời giải
Bạn cần đăng ký gói VIP ( giá chỉ từ 250K ) để làm bài, xem đáp án và lời giải chi tiết không giới hạn.
Lời giải
Bạn cần đăng ký gói VIP ( giá chỉ từ 250K ) để làm bài, xem đáp án và lời giải chi tiết không giới hạn.
Lời giải
Bạn cần đăng ký gói VIP ( giá chỉ từ 250K ) để làm bài, xem đáp án và lời giải chi tiết không giới hạn.
Lời giải
Bạn cần đăng ký gói VIP ( giá chỉ từ 250K ) để làm bài, xem đáp án và lời giải chi tiết không giới hạn.
Lời giải
Bạn cần đăng ký gói VIP ( giá chỉ từ 250K ) để làm bài, xem đáp án và lời giải chi tiết không giới hạn.