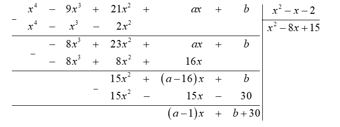
Tìm \(a,b\) để đa thức \(A\left( x \right) = {x^4} - 9{x^3} + 21{x^2} + ax + b\) chia hết cho đa thức \(B\left( x \right) = {x^2} - x - 2\).
Quảng cáo
Trả lời:
Ta thực hiện đặt tính chia đa thức như sau:

Do đó số dư của phép chia \(A\left( x \right)\) cho \(B\left( x \right)\) là \(\left( {a - 1} \right)x + b + 30\).
Để phép chia trên là phép chia hết thì \(\left( {a - 1} \right)x + b + 30 = 0\) với mọi \(x\)
Điều này xảy ra khi và chỉ khi \(\left\{ \begin{array}{l}a - 1 = 0\\b + 30 = 0\end{array} \right.\), suy ra \(\left\{ \begin{array}{l}a = 1\\b = - 30\end{array} \right.\).
Vậy \(a = 1\) và \(b = - 30\).
Hot: 1000+ Đề thi cuối kì 2 file word cấu trúc mới 2026 Toán, Văn, Anh... lớp 1-12 (chỉ từ 60k). Tải ngay
CÂU HỎI HOT CÙNG CHỦ ĐỀ
Lời giải
a) Tất cả các thẻ trong hộp đều ghi số nhỏ nhỏ hơn 25.
Do đó, xác suất của biến cố A là \[100\% \].
b) Tất cả các thẻ trong hộp đều ghi số tự nhiên hay không có thẻ nào ghi số thập phân.
Do đó, xác suất của biến cố B là \[0\% \].
c) Trong 20 thẻ trong hộp thì có 19 thẻ ghi số nhỏ hơn 20 gồm \[\left\{ {1\,;\,\,2\,;\,\,3\,;\,\,...\,;\,\,19} \right\}.\]
Do đó, xác suất của biến cố C là \[\frac{{19}}{{20}}\].
d) Trong 20 thẻ trong hộp thì có 3 thẻ ghi số lớn hơn 17 gồm \[\left\{ {18\,;\,\,19\,;\,\,20} \right\}.\]
Do đó, xác suất của biến cố D là \[\frac{3}{{20}}\].
e) Trong 20 thẻ trong hộp thì có 10 thẻ ghi số chẵn và 10 thẻ ghi số lẻ.
Do đó, xác suất của biến cố E là \[50\% \].
g) Trong 20 thẻ trong hộp có các số chia hết cho 4 là \[4\,;\,\,8\,;\,\,12\,;\,\,16\,;\,\,20\].
Xác suất số chia hết cho 4 là \[\frac{5}{{20}}\].
h) Các số nguyên tố trên thẻ là \[2\,;\,\,3\,;\,\,5\,;\,\,7\,;\,\,13\,;\,\,17\,;\,\,19\];
Xác suất xuất hiện số nguyên tố là \[\frac{7}{{20}}\];
Xác suất xuất hiện là \[\frac{7}{{20}}\].
Lời giải
a) Xác suất để lấy ngẫu nhiên được một chiếc bút bi màu xanh là: \(\frac{3}{{10}}.\)
b) Xác suất để lấy ngẫu nhiên được một chiếc bút bi màu đỏ là: \(\frac{2}{{10}} = \frac{1}{5}.\)
Lời giải
Bạn cần đăng ký gói VIP ( giá chỉ từ 250K ) để làm bài, xem đáp án và lời giải chi tiết không giới hạn.
Lời giải
Bạn cần đăng ký gói VIP ( giá chỉ từ 250K ) để làm bài, xem đáp án và lời giải chi tiết không giới hạn.
Lời giải
Bạn cần đăng ký gói VIP ( giá chỉ từ 250K ) để làm bài, xem đáp án và lời giải chi tiết không giới hạn.
Lời giải
Bạn cần đăng ký gói VIP ( giá chỉ từ 250K ) để làm bài, xem đáp án và lời giải chi tiết không giới hạn.
Lời giải
Bạn cần đăng ký gói VIP ( giá chỉ từ 250K ) để làm bài, xem đáp án và lời giải chi tiết không giới hạn.
