Cho đa thức \(P\left( x \right) = - 2 - 3{x^4} - x - 5{x^3} + 10x - 17{x^2} + \frac{1}{2}{x^3} - 5 + {x^3}\).
(a) Thu gọn đa thức trên tồi sắp xếp chúng theo lũy thừa giảm dần của biến.
(b) Xác định bậc, hệ số cao nhất, hệ số tự do của đa thức \(P\left( x \right)\). Tính \(P\left( { - 2} \right)\).
(c) Tìm đa thức \(Q\left( x \right)\) sao cho \(Q\left( x \right) - P\left( x \right) = 2{x^4} - \frac{1}{2}{x^3} - 19x - 1\).
(d) Tìm đa thức dư trong phép chia \(P\left( x \right):\left( {2 - x} \right).\)
Quảng cáo
Trả lời:
a) Ta có: \(P\left( x \right) = - 2 - 3{x^4} - x - 5{x^3} + 10x - 17{x^2} + \frac{1}{2}{x^3} - 5 + {x^3}\)
\(P\left( x \right) = - 3{x^4} + \left( { - 5{x^3} + \frac{1}{2}{x^3} + {x^3}} \right) - 17{x^2} + \left( {10x - x} \right) - 5 - 2\)
\(P\left( x \right) = - 3{x^4} - \frac{7}{2}{x^3} - 17{x^2} + 9x - 7\).
b) Ta có bậc của đa thức \(P\left( x \right)\) là 4, hệ số cao nhất là \( - 3\) và hệ số tự do là \( - 7\).
Ta có: \(P\left( { - 2} \right) = - 3.{\left( { - 2} \right)^4} - \frac{7}{2}.{\left( { - 2} \right)^3} - 17.{\left( { - 2} \right)^2} + 9.\left( { - 2} \right) - 7\)
\(P\left( { - 2} \right) = - 49\).
c) Ta có: \(Q\left( x \right) - P\left( x \right) = 2{x^4} - \frac{1}{2}{x^3} - 19x - 1\)
Do đó, \(Q\left( x \right) = P\left( x \right) + 2{x^4} - \frac{1}{2}{x^3} - 19x - 1\)
\(Q\left( x \right) = - 3{x^4} - \frac{7}{2}{x^3} - 17{x^2} + 9x - 7 + 2{x^4} - \frac{1}{2}{x^3} - 19x - 1\)
\(Q\left( x \right) = \left( { - 3{x^4} + 2{x^4}} \right) + \left( { - \frac{7}{2}{x^3} - \frac{1}{2}{x^3}} \right) - 17{x^2} + \left( {9x - 19x} \right) - 7 - 1\)
\(Q\left( x \right) = - {x^4} - 4{x^3} - 17{x^2} - 10x - 8\).
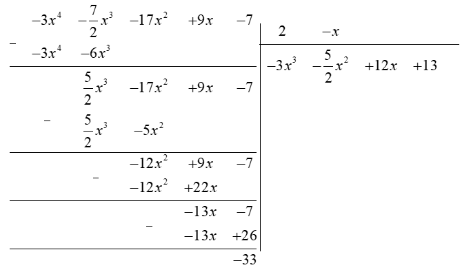
d) Thực hiện phép chia \(P\left( x \right):\left( {2 - x} \right),\) ta có:

Vậy dư của phép chia \(P\left( x \right):\left( {2 - x} \right)\) là \( - 33\).
Hot: 1000+ Đề thi cuối kì 2 file word cấu trúc mới 2026 Toán, Văn, Anh... lớp 1-12 (chỉ từ 60k). Tải ngay
CÂU HỎI HOT CÙNG CHỦ ĐỀ
Lời giải

a) Xét \(\Delta ADE\) và \(\Delta BED\) có
\[AD = BE\] (gt)
\(\widehat {AED} = \widehat {BDE} = 90^\circ \)
Cạnh \[AB\] chung
Do đó \(\Delta ADE = \Delta BED\) (cạnh huyền – cạnh góc vuông).
Suy ra \[\widehat {EAB} = \widehat {ABD}\] (hai góc tương ứng)
Vậy tam giác \[ABC\] cân tại \[C\].
b) Vì tam giác \[ABC\] cân tại \[C\] nên \[CA = CB\].
Suy ra \[C\] thuộc đường trung trực của \[AB\].
Vì \(\Delta ADE = \Delta BED\) (cmt) nên \[\widehat {EBA} = \widehat {DAB}\] (hai góc tương ứng).
Suy ra tam giác \[HAB\] cân tại \[H\]nên \[HA = HB\].
Do đó \[H\] thuộc đường trung trực của \[AB\].
Vậy đường thẳng \[CH\] là đường trung trực của đoạn thẳng \[AB\].
c) Tam giác \[ABC\] cân tại \[C\] nên \[\widehat {CAB} = \frac{{180^\circ - \widehat {ACB}}}{2}\].
Ta có \[AE = BD\] (vì \(\Delta ADE = \Delta BED\)).
Suy ra \[CA - AE = CB - BD\] nên \[CE = CD\].
Do đó tam giác \[CED\] cân tại \[C\] nên \[\widehat {CED} = \frac{{180^\circ - \widehat {ACB}}}{2}\].
Suy ra \[\widehat {CAB} = \widehat {CED}\]
Mà \[\widehat {CAB}\] và \[\widehat {CED}\] ở vị trí đồng vị nên \[ED\,{\rm{//}}\,BA.\]
Lời giải

a) Theo giả thiết, ta có \(CH \bot AB\,;{\rm{ }}BH \bot AC\) nên \(H\) là trực tâm tam giác \(ABC\).
Suy ra \(AH \bot BC\) hay \(AM \bot BC\)
Xét tam giác \(BAM\) ta có
\(\widehat {BAM} = 180^\circ - \widehat {AMB} - \widehat {MBA}\)\(180^\circ - 90^\circ - \widehat {MBA} = 90^\circ - \widehat {MBA}\,\,\,\,\,(1)\)
Xét tam giác \(BCE\) ta có
\(\widehat {ECB} = 180^\circ - \widehat {CEB} - \widehat {MBE}\)\( = 180^\circ - 90^\circ - \widehat {MBA} = 90^\circ - \widehat {MBA}\,\,\,\,\,(2)\)
Từ \((1),\,\,(2)\) suy ra \(\widehat {BAM} = \widehat {ECB}\).
b) Xét hai tam giác vuông \(AKE\) và \(AHE\) có
\(EK = EH\), \(AE\) là cạnh chung.
Do đó \[\Delta AKE = \Delta AHE\] (hai cạnh góc vuông bằng nhau).
Suy ra \(\widehat {KAE} = \widehat {HAE}\) (hai góc tương ứng).
Mà \(\widehat {HAE} = \widehat {KCB}\) (câu a) nên \(\widehat {KAB} = \widehat {KCB}\).
Lời giải
Bạn cần đăng ký gói VIP ( giá chỉ từ 250K ) để làm bài, xem đáp án và lời giải chi tiết không giới hạn.
Lời giải
Bạn cần đăng ký gói VIP ( giá chỉ từ 250K ) để làm bài, xem đáp án và lời giải chi tiết không giới hạn.
Lời giải
Bạn cần đăng ký gói VIP ( giá chỉ từ 250K ) để làm bài, xem đáp án và lời giải chi tiết không giới hạn.
Lời giải
Bạn cần đăng ký gói VIP ( giá chỉ từ 250K ) để làm bài, xem đáp án và lời giải chi tiết không giới hạn.
Lời giải
Bạn cần đăng ký gói VIP ( giá chỉ từ 250K ) để làm bài, xem đáp án và lời giải chi tiết không giới hạn.