Đề thi tuyển sinh Toán vào lớp 10 năm 2025-2026 sở GD&ĐT Nghệ An
Khoahoc.vietjack.com cập nhật Đề thi tuyển sinh Toán vào lớp 10 năm 2025-2026 sở GD&ĐT Nghệ An sẽ giúp học sinh nắm được cấu trúc đề thi và có thêm tài liệu ôn thi vào lớp 10 môn Toán. Mời các bạn đón đọc:
- Bộ đề thi Toán vào 10 năm 2025 có đầy đủ lời giải chi tiết:
Xem thử Bộ đề thi thử vào 10 Toán 2025Xem thử Bộ đề thi vào 10 Toán 2025 Xem thử Chuyên đề Toán ôn vào 10
- Bộ đề thi vào 10 môn Toán Hà Nội, Tp.HCM, Đà Nẵng gồm 8 đề thi CHÍNH THỨC từ năm 2015 → 2024 có lời giải chi tiết giúp Giáo viên có thêm tài liệu ôn thi Toán vào 10 Hà Nội, Tp.HCM, Đà Nẵng:
Xem thử Đề vào 10 Hà NộiXem thử Đề vào 10 TP.HCMXem thử Đề vào 10 Đà Nẵng
Chỉ từ 150k mua trọn bộ Đề ôn thi vào 10 môn Toán năm 2026 theo cấu trúc mới bản word có lời giải chi tiết:
A. Tóm tắt nội dung một số câu trong Đề thi Toán vào lớp 10
Câu 5 (1,0 điểm).
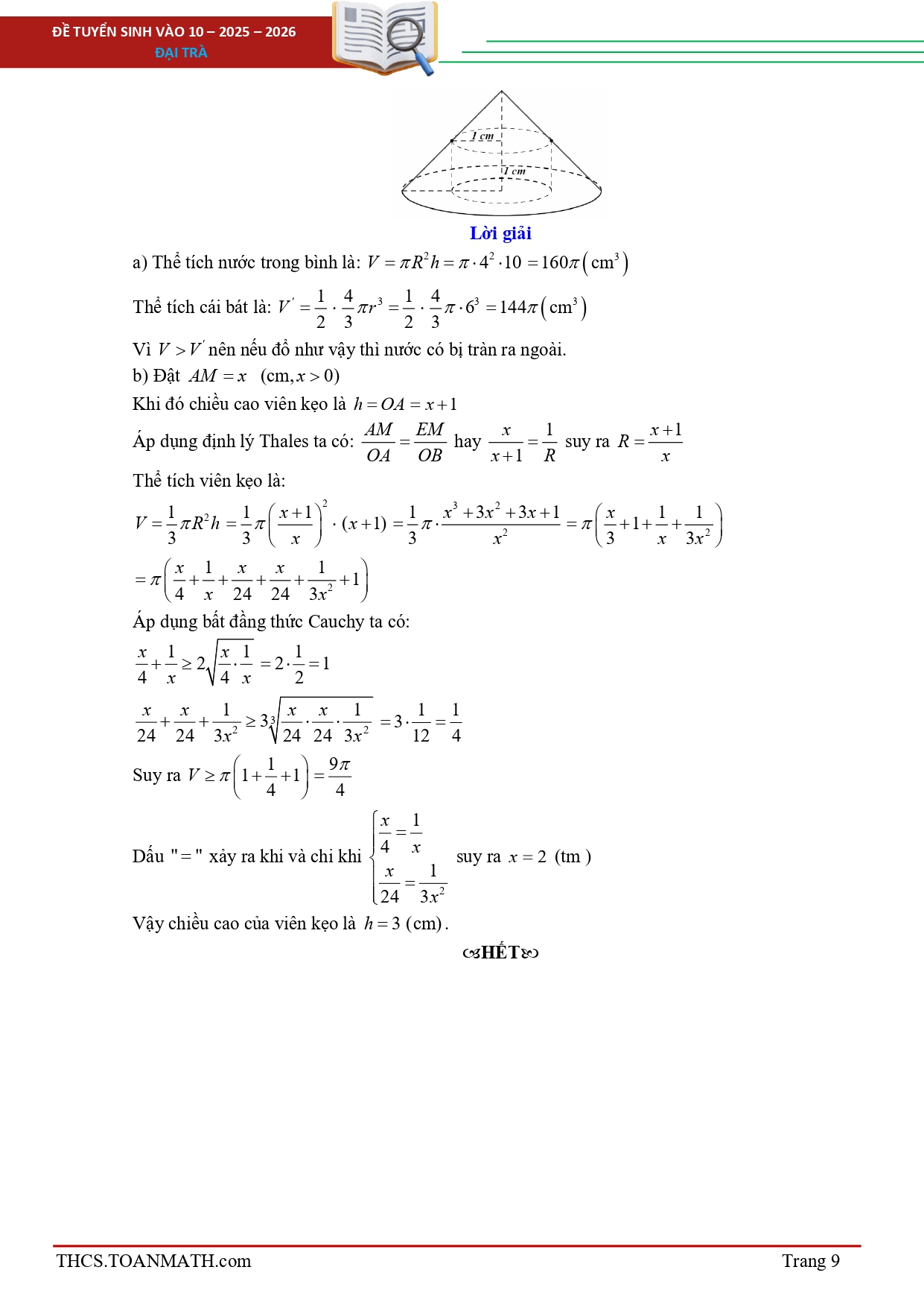
a) Một bác nông dân có một bình đựng nước chè xanh, phần chứa nước là dạng hình trụ có bán kính đáy bằng 4 cm, mực nước trong bình có chiều cao bằng 10 cm. Bác muốn đổ hết nước từ bình sang một cái bát uống nước, phần chứa nước là dạng nửa hình cầu có bán kính bằng 6 cm (hình vẽ bên). Hỏi nếu đổ như vậy thì nước có bị tràn ra ngoài hay không? Vì sao? 10cm.
b) Một công ty bánh kẹo muốn sản xuất một loại kẹo có dạng hình nón. Nhân của kẹo làm bằng sô cô la là một hình trụ có bán kính đáy và chiều cao cùng bằng 1 cm, một đáy của nhân kẹo nằm trên mặt đáy của hình nón và có tâm trùng với tâm đáy hình nón, đường tròn đáy còn lại của hình trụ nằm trên mặt xung quanh của hình nón. Phần còn lại của kẹo được phủ đầy bằng sữa khô (hình vẽ bên). Biết rằng công ty đã thiết kế viên kẹo có thể tích nhỏ nhất để tiết kiệm tối đa nguyên liệu sữa khô. Tính chiều cao của viên kẹo.
...........................................................................................
B. Nội dung Đề thi Toán vào lớp 10 năm 2025 - 2026 sở GD&ĐT Nghệ An









C. Chiến lược ôn thi vào 10 môn Toán hiệu quả
Qua đề thi tuyển sinh Toán vào lớp 10 năm 2025-2026 sở GD&ĐT Nghệ An trên, các em đã nắm được cấu trúc cũng như các dạng bài tập có trong đề thi. Cùng tham gia ôn luyện các Đề thi Toán vào lớp 10 mới nhất trên khoahoc.vietjack.com để ôn thi Toán đạt kết quả cao.