Những polymer nào sau đây thuộc loại polymer thiên nhiên?
Những polymer nào sau đây thuộc loại polymer thiên nhiên?
Quảng cáo
Trả lời:
Hướng dẫn giải
Đáp án đúng là: B
Polymer thiên nhiên có sẵn trong tự nhiên: Tơ tằm, tinh bột và cellulose.
Hot: 1000+ Đề thi giữa kì 1 file word cấu trúc mới 2025 Toán, Văn, Anh... lớp 1-12 (chỉ từ 60k). Tải ngay
CÂU HỎI HOT CÙNG CHỦ ĐỀ
Câu 1
Lời giải
Hướng dẫn giải
Đáp án đúng là: B
Bản chất của quá trình lưu hoá cao su là tạo ra cầu nối −S−S−.
Câu 2
Lời giải
Hướng dẫn giải
Đáp án đúng là: A
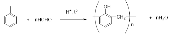
Phương trình phản ứng hóa học:

Câu 3
Lời giải
Bạn cần đăng ký gói VIP ( giá chỉ từ 199K ) để làm bài, xem đáp án và lời giải chi tiết không giới hạn.
Câu 4
Lời giải
Bạn cần đăng ký gói VIP ( giá chỉ từ 199K ) để làm bài, xem đáp án và lời giải chi tiết không giới hạn.
Lời giải
Bạn cần đăng ký gói VIP ( giá chỉ từ 199K ) để làm bài, xem đáp án và lời giải chi tiết không giới hạn.
Câu 6
Lời giải
Bạn cần đăng ký gói VIP ( giá chỉ từ 199K ) để làm bài, xem đáp án và lời giải chi tiết không giới hạn.
Lời giải
Bạn cần đăng ký gói VIP ( giá chỉ từ 199K ) để làm bài, xem đáp án và lời giải chi tiết không giới hạn.