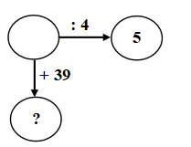
Hà có một số viên bi. Nếu giảm số viên bi của Hà đi 4 lần thì còn lại 5 viên. Minh cho Hà thêm 39 viên bi. Hỏi lúc sau, Hà có bao nhiêu viên bi?
Hà có một số viên bi. Nếu giảm số viên bi của Hà đi 4 lần thì còn lại 5 viên. Minh cho Hà thêm 39 viên bi. Hỏi lúc sau, Hà có bao nhiêu viên bi?

Quảng cáo
Trả lời:
Tóm tắt:
Bài giải
Lúc đầu, Hà có số viên bi là:
5 × 4 = 20 (viên bi)
Lúc sau, Hà có số viên bi là:
20 + 39 = 59 (viên bi)
Đáp số: 59 viên bi
Hot: 1000+ Đề thi giữa kì 1 file word cấu trúc mới 2025 Toán, Văn, Anh... lớp 1-12 (chỉ từ 60k). Tải ngay
CÂU HỎI HOT CÙNG CHỦ ĐỀ
Lời giải
Tóm tắt:
Bài giải
Buổi chiều bán được số ki-lô-gam gạo là:
40 : 4 = 10 (kg)
Cả ngày bán được số ki-lô-gam gạo là:
40 + 10 = 50 (kg)
Đáp số: 50 kg
Lời giải
Tóm tắt:
Bài giải
Vân có số quyển vở là:
20 : 2 = 10 (quyển vở)
Tổng số quyển vở của hai bạn là:
20 + 10 = 30 (quyển vở)
Đáp số: 30 quyển vở
Lời giải
Bạn cần đăng ký gói VIP ( giá chỉ từ 199K ) để làm bài, xem đáp án và lời giải chi tiết không giới hạn.
Lời giải
Bạn cần đăng ký gói VIP ( giá chỉ từ 199K ) để làm bài, xem đáp án và lời giải chi tiết không giới hạn.
Lời giải
Bạn cần đăng ký gói VIP ( giá chỉ từ 199K ) để làm bài, xem đáp án và lời giải chi tiết không giới hạn.
Lời giải
Bạn cần đăng ký gói VIP ( giá chỉ từ 199K ) để làm bài, xem đáp án và lời giải chi tiết không giới hạn.
Lời giải
Bạn cần đăng ký gói VIP ( giá chỉ từ 199K ) để làm bài, xem đáp án và lời giải chi tiết không giới hạn.






