Tìm x, biết:
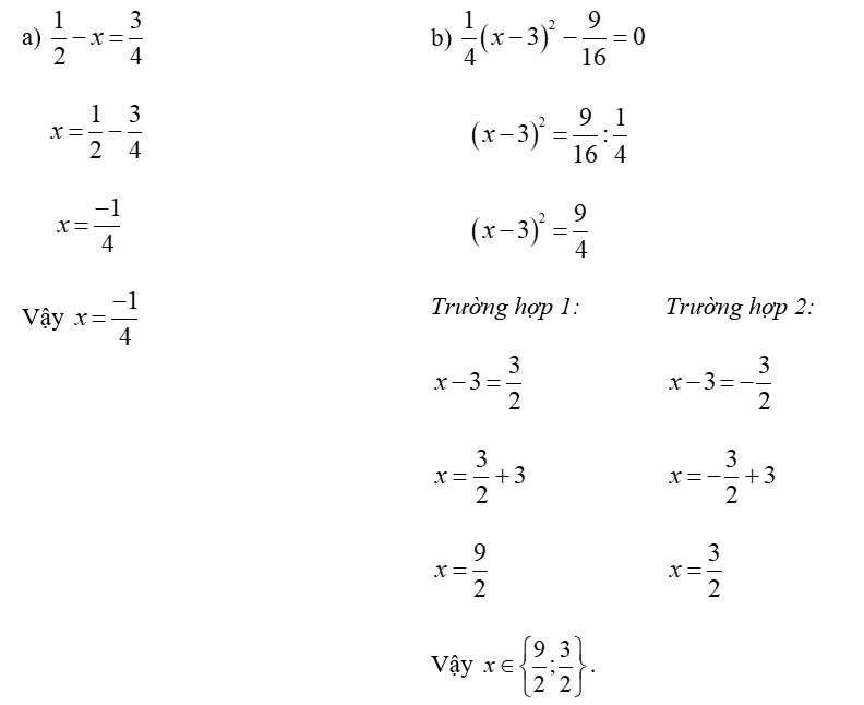
(a) \(\frac{1}{2} - x = \frac{3}{4}\)
(b) \(\frac{1}{4}{\left( {x - 3} \right)^2} - \frac{9}{{16}} = 0\).
Câu hỏi trong đề: Bộ 10 đề thi giữa kì 1 Toán 7 Chân trời sáng tạo có đáp án !!
Quảng cáo
Trả lời:

Hot: 1000+ Đề thi giữa kì 2 file word cấu trúc mới 2026 Toán, Văn, Anh... lớp 1-12 (chỉ từ 60k). Tải ngay
CÂU HỎI HOT CÙNG CHỦ ĐỀ
Lời giải
a) Thể tích của khối gỗ trước khi khoét là \(5.7.6 = 210\,\,\,\left( {{\rm{d}}{{\rm{m}}^3}} \right)\)
Thể tích của cái lố hình lăng trụ đứng tam giác là: \(\left( {\frac{1}{2}.3.4} \right).7 = 42\,\,\left( {{\rm{d}}{{\rm{m}}^3}} \right)\)
Thể tích của khối gỗ sau khi khoét là: \(210 - 42 = 168\,\,\left( {{\rm{d}}{{\rm{m}}^3}} \right)\).
b) Diện tích xung quanh của khối gỗ hình hộp chữ nhật là: \[2.\left( {5 + 6} \right).7 = 154\,\,\left( {{\rm{d}}{{\rm{m}}^2}} \right)\]
Diện tích xung quanh của cái lỗ hình lăng trụ đứng tam giác là: \(\left( {3 + 4 + 5} \right).7 = 84\,\,\left( {{\rm{d}}{{\rm{m}}^2}} \right)\)
Diện tích mặt đáy cần sơn bằng diện tích mặt đáy của hình hộp chữ nhật trừ đi diện tích mặt đáy hình lăng trụ đứng tam giác và bằng: \(5.6 - \frac{1}{2}.3.4 = 24\,\,\left( {{\rm{d}}{{\rm{m}}^2}} \right)\)
Vậy diện tích bề mặt cần sơn là: \(154 + 84 + 2.24 = 286\,\,\left( {{\rm{d}}{{\rm{m}}^2}} \right)\).
Lời giải
a) Số tiền bác Mai phải trả khi mua chiếc tủ lạnh đó là:
\(20.\left( {100\% - 10\% } \right) = 20.90\% = 18\) (triệu đồng).
b) Số tiền ông An đã được giảm giá là: 20 000 000 – 17 400 000 = 2 600 000 (đồng)
Tỉ số phần trăm của số tiền được giảm so với giá niêm yết là:
\(\frac{{2\,\,600\,\,000}}{{20\,\,000\,\,000}}.100\% = 13\% \)
Vậy với hình thức thanh toán qua ví điện tử Momo, người mua hàng được giảm thêm \(13\% - 10\% = 3\% \) giá niêm yết của sản phẩm.
Lời giải
Bạn cần đăng ký gói VIP ( giá chỉ từ 199K ) để làm bài, xem đáp án và lời giải chi tiết không giới hạn.
Câu 4
\(\frac{{ - 2}}{3};\frac{{ - 1}}{3};\frac{{ - 1}}{5}\)
\(\frac{4}{5};\frac{3}{5};\frac{1}{5}\)
\(\frac{4}{5};\frac{{ - 1}}{5};\frac{3}{5}\)
\(\frac{{ - 4}}{5};\frac{{ - 3}}{5};\frac{{ - 1}}{5}\).
Lời giải
Bạn cần đăng ký gói VIP ( giá chỉ từ 199K ) để làm bài, xem đáp án và lời giải chi tiết không giới hạn.
Lời giải
Bạn cần đăng ký gói VIP ( giá chỉ từ 199K ) để làm bài, xem đáp án và lời giải chi tiết không giới hạn.
Câu 6
\[DD' = 5\,\,{\rm{cm}}\]
\(D'A' = 3\,\,{\rm{cm}}\)
\(C'D' = 5\,\,{\rm{cm}}\)
\(AC' = 3\,\,{\rm{cm}}\).
Lời giải
Bạn cần đăng ký gói VIP ( giá chỉ từ 199K ) để làm bài, xem đáp án và lời giải chi tiết không giới hạn.

