Tìm x, biết:
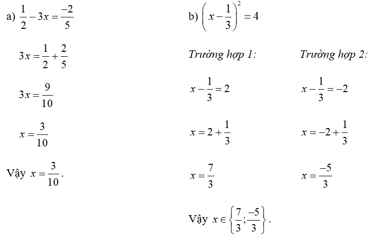
(a) \(\frac{1}{2} - 3x = \frac{{ - 2}}{5}\)
(b) \({\left( {x - \frac{1}{3}} \right)^2} = 4\).
Quảng cáo
Trả lời:

Hot: 1000+ Đề thi cuối kì 1 file word cấu trúc mới 2025 Toán, Văn, Anh... lớp 1-12 (chỉ từ 60k). Tải ngay
CÂU HỎI HOT CÙNG CHỦ ĐỀ
Lời giải
Chu vi của mặt đáy là: \(2.\left( {3 + 6} \right) = 18\,\,\left( {{\rm{cm}}} \right)\)
Diện tích xung quanh của hình lăng trụ là: \[{S_{xq}} = 18.5 = 90\,\,\left( {{\rm{c}}{{\rm{m}}^{\rm{2}}}} \right)\]
Diện tích của mặt đáy là:
Thể tích của hình lăng trụ là: \[V = 12.5 = 60\,\,\left( {{\rm{c}}{{\rm{m}}^{\rm{3}}}} \right)\].
Câu 2
\( - \frac{3}{2};\frac{0}{7};\frac{7}{0};\frac{{ - 2}}{{ - 5}}\)
\(1\frac{2}{7};\frac{0}{7};\frac{7}{0};\frac{{ - 2}}{{ - 5}}\)
\( - \frac{3}{2};1\frac{2}{7};\frac{7}{0};\frac{{ - 2}}{{ - 5}}\)
\( - \frac{3}{2};1\frac{2}{7};\frac{0}{7};\frac{{ - 2}}{{ - 5}}\).
Lời giải
Đáp án đúng là: D
Trong các số \( - \frac{3}{2};1\frac{2}{7};\frac{0}{7};\frac{7}{0};\frac{{ - 2}}{{ - 5}}\) có \(\frac{7}{0}\) không phải là số hữu tỉ.
Vậy dãy các số hữu tỉ là \( - \frac{3}{2};1\frac{2}{7};\frac{0}{7};\frac{{ - 2}}{{ - 5}}\).
Lời giải
Bạn cần đăng ký gói VIP ( giá chỉ từ 199K ) để làm bài, xem đáp án và lời giải chi tiết không giới hạn.
Lời giải
Bạn cần đăng ký gói VIP ( giá chỉ từ 199K ) để làm bài, xem đáp án và lời giải chi tiết không giới hạn.
Lời giải
Bạn cần đăng ký gói VIP ( giá chỉ từ 199K ) để làm bài, xem đáp án và lời giải chi tiết không giới hạn.
Lời giải
Bạn cần đăng ký gói VIP ( giá chỉ từ 199K ) để làm bài, xem đáp án và lời giải chi tiết không giới hạn.
